Vui lòng chỉ chọn một câu hỏi
Hoidap247.com Nhanh chóng, chính xác
+
Danh mục mới
10
315
9
Hãy luôn nhớ cảm ơn và vote 5* nếu câu trả lời hữu ích nhé!
2824
665
2496
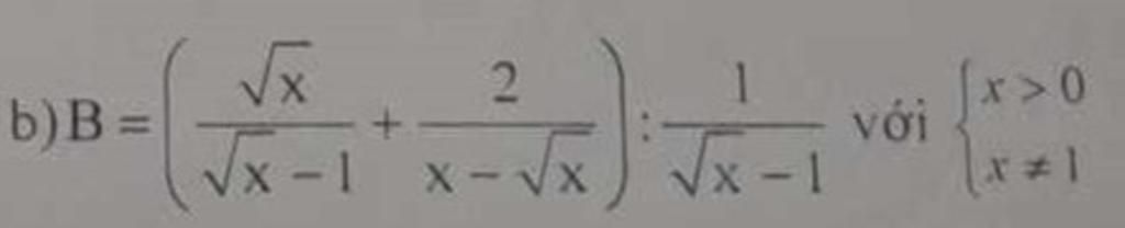
Đáp án:
Giải thích các bước giải:
Hãy giúp mọi người biết câu trả lời này thế nào?
Xem thêm:
1213
549
1158
Bảng tin
Gửi yêu cầu Hủy