

Hãy luôn nhớ cảm ơn và vote 5*
nếu câu trả lời hữu ích nhé!
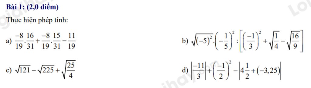
`a)(-8)/19. 16/31+(-8)/19. 15/31-11/19`
`=-8/19. (16/31+15/31)-11/19`
`=-8/19. 1-11/19`
`=-8/19-11/19`
`=-1`
`b)\sqrt{(-5)^2}.(-1/5)^2:[(-1/3)^2+\sqrt{1/4}-\sqrt{16/9}]`
`=5. 1/25:(1/9+1/2-4/3)`
`=1/5:(-13/18)`
`=-18/65`
`c)\sqrt{121}-\sqrt{225}+\sqrt{25/4}`
`=11-15+5/2`
`=-3/2`
`d)|(-11)/3|+((-1)/2)^2-|4\1/2+(-3,25)|`
`=11/3+1/4-|9/2-13/4|`
`=47/12-|5/4|`
`=47/12-5/4`
`=8/3`
Hãy giúp mọi người biết câu trả lời này thế nào?
`K`
`a, -8/19 . 16/31 + -8/19 . 15/31 -11/19`
=-8/19 . 1 -11/19`
`=-19/19`
`=-1`
`b, \sqrt((-5)^2) . (-1/5)^2 : [(-1/3)^2 + \sqrt(1/4) - \sqrt(16/9)]`
`=5 . 1/25 : [1/9 + 1/2 - 4/3]`
`=1/5 : (-13/18)`
`=-18/65`
`c, \sqrt(121)-\sqrt(225) + \sqrt(25/4)`
`=11-15 + 5/2`
`=-4+5/2`
`=-3/2`
`d, |-11/3| + (-1/2)^2 - |4 1/2 + (-3,25)|`
`=11/3 + 1/4 - |4,5 -3,25|`
`=11/3 + 1/4 - 1,25`
`=8/3`
Hãy giúp mọi người biết câu trả lời này thế nào?
Bảng tin