

Hãy luôn nhớ cảm ơn và vote 5*
nếu câu trả lời hữu ích nhé!
Tham khảo :
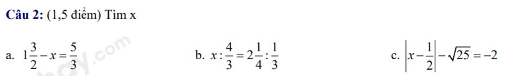
`a . ` `1 3/2-x=5/3`
`=>` `5/2-x=5/3`
`=>` `x=5/2-5/3`
`=>` `x=5/6`
Vậy `x=5/6`
$\\$
`b . ` `x:4/3=2 1/4:1/3`
`=>` `x:4/3=9/4:1/3`
`=>` `x:4/3=27/4`
`=>` `x=27/4*4/3`
`=>` `x=9`
Vậy `x=9`
$\\$
`c . ` `|x-1/2|-\sqrt{25}=-2`
`=>` `|x-1/2|-5=-2`
`=>` `|x-1/2|=(-2)+5`
`=>` `|x-1/2|=3`
`=>` `[(x-1/2=3),(x-1/2=-3):}`
`=>` `[(x=3+1/2),(x=(-3)+1/2) :}`
`=>` `[(x=7/2),(x=-5/2):}`
Vậy `x \in{7/2;-5/2}`
Hãy giúp mọi người biết câu trả lời này thế nào?
`a)`
`1(3)/(2)-x=(5)/(3)`
`=>(5)/(2)-x=(5)/(3)`
`=>x=(5)/(2)-(5)/(3)`
`=>x=(5)/(6)`
Vậy `x=(5)/(6)`
`b)`
`x:(4)/(3)=2(1)/(4):(1)/(3)`
`=>x:(4)/(3)=(9)/(4):(1)/(3)`
`=>x:(4)/(3)=(27)/(4)`
`=>x=(27)/(4).(4)/(3)`
`=>x=9`
Vậy `x=9`
`c)`
`|x-(1)/(2)|-sqrt{25}=-2`
`=>|x-(1)/(2)|-5=-2`
`=>|x-(1)/(2)|=-2+5`
`=>|x-(1)/(2)|=3`
`=>`$\left[\begin{matrix} x-\dfrac{1}{2}=3\\ x-\dfrac{1}{2}=-3\end{matrix}\right.$
`=>`$\left[\begin{matrix} x=\dfrac{1}{2}\\ x=-\dfrac{5}{2}\end{matrix}\right.$
Vậy `x in {(7)/(2);-(5)/(2)}`
Hãy giúp mọi người biết câu trả lời này thế nào?
Bảng tin