Đăng nhập để hỏi chi tiết


Hãy luôn nhớ cảm ơn và vote 5*
nếu câu trả lời hữu ích nhé!
`#Yaii `
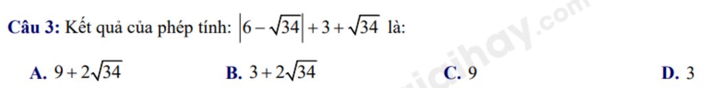
`3.C `
`|6-\sqrt{34}|+3+\sqrt{34} `
`=6-\sqrt{34}+3+\sqrt{34} `
`=(6+3)(-\sqrt{34}+\sqrt{34}) `
`=9+0 `
`=9 `
Hãy giúp mọi người biết câu trả lời này thế nào?
Bảng tin