

Hãy luôn nhớ cảm ơn và vote 5*
nếu câu trả lời hữu ích nhé!
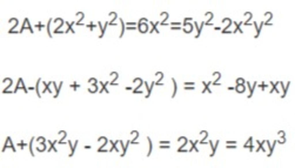
`2A + (2x^2 + y^2 ) = 6x^2 = 5y^2 - 2x^2y` (XEM LẠI ĐỀ)`
`b)` `2A - (xy + 3x^2 - 2y^2) = x^2 - 8y + xy`
`=>` `2A = x^2 - 8y + xy + xy + 3x^2 - 2y^2`
`=>` `2A = 4x^2 - 8y + 2xy - 2y^2`
`=>` `2A = 2(2x^2 - 4y + xy - y^2)`
`=>` `A = 2x^2 - 4y + xy - y^2`
`c)` `A + (3x^2y - 2xy^2) = 2x^2y = 4xy^3` (XEM LẠI ĐỀ)
Hãy giúp mọi người biết câu trả lời này thế nào?
Bảng tin
0
781
0
a) 2A= (2x^2 + Y^2)=6x^2-5y^2-2x^2y^2
0
781
0
c) A+(3x^2y−2xy^2)=2x^2y-4xy^3