Đăng nhập để hỏi chi tiết


Hãy luôn nhớ cảm ơn và vote 5*
nếu câu trả lời hữu ích nhé!
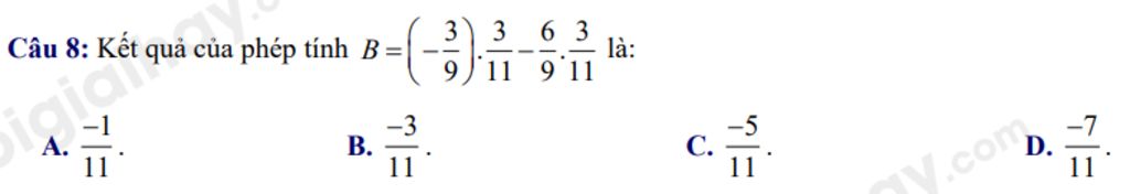
Đáp án:
`B`
Giải thích các bước giải:
`(-3/9).3/11-6/9. 3/11`
`=(-1/3). 3/11-2/3.3/11`
`=3/11.(-1/3-2/3)`
`=3/11. (-3/3)`
`=3/11. (-1)`
`=-3/11`
`=\frac{-3}{11}`
`->B`
Hãy giúp mọi người biết câu trả lời này thế nào?
Bảng tin