Đăng nhập để hỏi chi tiết


Hãy luôn nhớ cảm ơn và vote 5*
nếu câu trả lời hữu ích nhé!
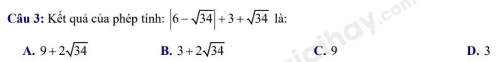
`Accnswer`
`|6-sqrt{34}|+3+sqrt{34}`
`=6-sqrt{34}+3+sqrt{34}`
`=(6+3)+(-sqrt{34}+sqrt{34})`
`=9+0`
`=9`
Ta chọn đáp án `C`
Hãy giúp mọi người biết câu trả lời này thế nào?
Bảng tin
5019
2278
1561
https://hoidap247.com/cau-hoi/6359000