

Hãy luôn nhớ cảm ơn và vote 5*
nếu câu trả lời hữu ích nhé!
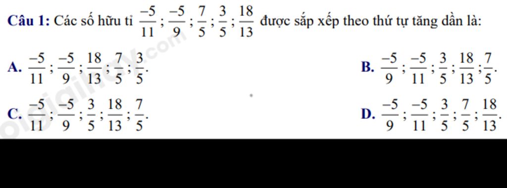
Đáp án:
`C`
Giải thích các bước giải:
Ta so sánh:
`\frac{-5}{11};\frac{-5}{9};7/5;3/5;18/13`
Ta so sánh số âm với số âm và số dương với số dương ta được:
`+)` Ta so sánh:
`\frac{-5}{11};\frac{-5}{9}`
Ta có:
`11>9`
`=>1/11< 1/9`
Ta nhân cả hai vế với `-1` ta được:
`=>-1/11< -1/9`
Ta nhân cả vế với `5`
`=>-5/11< -5/9`
`=>\frac{-5}{11}<\frac{-5}{9}(1)`
`+)` Ta so sánh:
`7/5;3/5;18/13`
Có:
`7/5> 3/5`
`->3/5<7/5(2)`
Ta so sánh:
`7/5` và `18/13`
Ta có:
`5=5`
`13=13`
`->BC N N(5;13)=5.13=65`
Ta quy đồng:
`7/5=\frac{7.13}{5.13}=91/65`
`18/13=\frac{18.5}{13.5}=90/65`
Ta nhận thấy:
`90<91`
`->90/65<91/65`
`->18/13< 7/5(3)`
Từ `(1),(2)` và `(3)` ta được sắp xếp theo thứ tự tăng dần:
`\frac{-5}{11};\frac{-5}{9};3/5;18/13;7/5`
`->C`
Hãy giúp mọi người biết câu trả lời này thế nào?
`#Yaii `
Câu `1:C `
`@ ` Số hữu tỉ âm luôn nhỏ hơn số hữu tỉ âm.
`=>(-5)/11 ` và `(-5)/9 ` đứng trước.
mà `(-5)/11<(-5)/9 `
`=>(-5)/11;(-5)/9...(1) `
`=> ` Loại ` B,D `
`@ ` Còn `3 ` số, ta quy đồng`: `
`18/13=450/325 `
`7/5=455/325 `
`3/5=195/325 `
Vì `195<450<455 `
`=>3/5<18/13<7/4(2) `
Từ `(1) ` và `(2) `
`=>(-5)/11;(-5)/9;3/5;18/13;7/4 `
Hãy giúp mọi người biết câu trả lời này thế nào?
Bảng tin
0
35
0
https://hoidap247.com/cau-hoi/6392191
6273
1329
4639
sai r ạ?