

Hãy luôn nhớ cảm ơn và vote 5*
nếu câu trả lời hữu ích nhé!
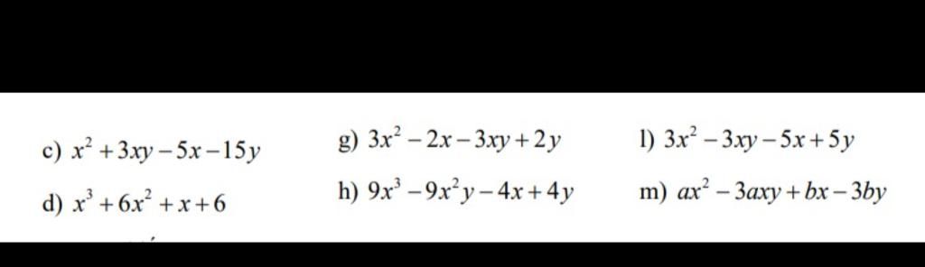
`c, x^2+3xy-5x-15y`
`=x(x+3y)-5(x+3y)`
`=(x-5)(x+3y)`
`d, x^3+6x^2+x+6`
`=x^2(x+6)+(x+6)`
`=(x^2+1)(x+6)`
`g, 3x^2-2x-3xy +2y`
`=(3x^2-3xy)-(2x-2y)`
`=3x(x-y)-2(x-y)`
`=(3x-2)(x-y)`
`h, 9x^3-9x^2y -4x+4y`
`=9x^2(x-y)-4(x-y)`
`=(9x^2-4)(x-y)`
`=[(3x)^2 -2^2](x-y)`
`=(3x-2)(3x+2)(x-y)`
`l, 3x^2-3xy-5x+5y`
`=3x(x-y) -5(x-y)`
`=(3x-5)(x-y)`
`m, ax^2 -3axy +bx-3by`
`=ax(x-3y)+b(x-3y)`
`=(ax+b)(x-3y)`
Hãy giúp mọi người biết câu trả lời này thế nào?
`c)x^2 + 3xy - 5x - 15y`
`= x( x + 3y ) - 5( x + 3y)`
`= ( x - 5 )( x + 3y )`
`d) x^3 + 6x^2 + x + 6`
`= x^2( x + 6 ) + ( x + 6 )`
`= ( x + 6 )( x^2 + 1 )~
`g) 3x^2 - 2x - 3xy + 2y`
`= x( 3x - 2 ) - y( 3x - 2 )`
`= ( x - y )( 3x - 2 )`
`h) 9x^3 - 9x^2y - 4x + 4y`
`= 9x^2( x - y ) - 4( x - y )`
`= ( 9x^2 - 4 )( x - y )`
`= ( 3x - 2 )( 3x + 2 )( x - y )`
`l) 3x^2 - 3xy - 5x + 5y`
`= 3x( x - y ) - 5( x - y )`
`= ( 3x - 5 )( x - y )`
`m) ax^2 - 3axy + bx - 3by`
`= ax( x - 3y ) + b( x - 3y )`
`= ( ax + b )( x - 3y )`
Hãy giúp mọi người biết câu trả lời này thế nào?
Bảng tin
