

Hãy luôn nhớ cảm ơn và vote 5*
nếu câu trả lời hữu ích nhé!
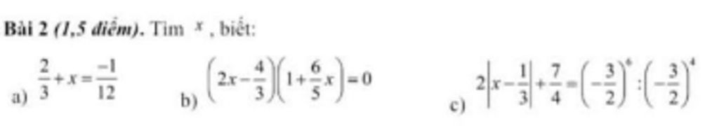
a) `2/3 + x = (-1)/12`
`=> x = (-1)/12 - 2/3`
`=> x = (-1)/12 - 8/12`
`=> x = (-9)/12`
`=> x = (-3)/4`
Vậy, `x = (-3)/4`
b) `(2x - 4/3)(1 + 6/5x) = 0`
`=> 2x - 4/3 = 0` hoặc `1 + 6/5x = 0`
TH1: `2x - 4/3 = 0`
`=> 2x = 4/3`
`=> x = 4/3 : 2`
`=> x = 4/3 . 1/2`
`=> x = 4/6 = 2/3`
TH2: `1 + 6/5x = 0`
`=> 6/5x = -1`
`=> x = -1 : 6/5`
`=> x = -1 . 5/6`
`=> x = -5/6`
Vậy, `x in {2/3; -5/6}`
c) `2 |x - 1/3| + 7/4 = (-3/2)^6 : (-3/2)^4`
`=> 2 |x - 1/3| + 7/4 = (-3/2)^2`
`=> 2 |x - 1/3| + 7/4 = 9/4`
`=> 2 |x - 1/3| = 9/4 - 7/4`
`=> 2 |x - 1/3| = 2/4 = 1/2`
`=> |x - 1/3| = 1/2 : 2`
`=> |x - 1/3| = 1/4`
`=> x - 1/3 = 1/4` hoặc `x - 1/3 = -1/4`
TH1: `x - 1/3 = 1/4`
`=> x = 1/4 + 1/3`
`=> x = 3/12 + 4/12`
`=> x = 7/12`
TH2: `x - 1/3 = -1/4`
`=> x = -1/4 + 1/3`
`=> x = =3/12 + 4/12`
`=> x = 1/12`
Vậy, `x in {7/12; 1/12}`
Hãy giúp mọi người biết câu trả lời này thế nào?
Bảng tin