

Hãy luôn nhớ cảm ơn và vote 5*
nếu câu trả lời hữu ích nhé!
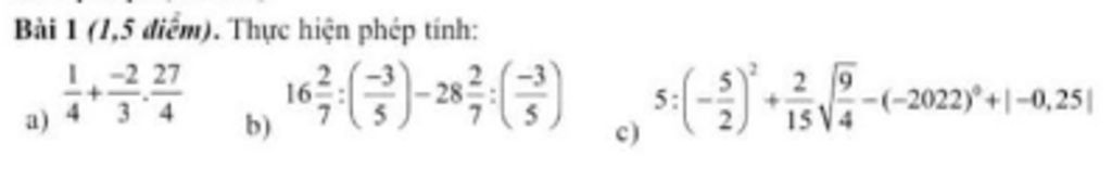
Đáp án+Giải thích các bước giải:
`a)`
`1/4+\frac{-2}{3}. 27/4`
`=1/4.1+\frac{(-2).3.9}{3.4}`
`=1/4.1+1/4. (-18)`
`=1/4. (1-18)`
`=1/4. (-17)`
`=-17/4`
`b)`
`16 2/7: (\frac{-3}{5})-28 2/7: (\frac{-3}{5})`
`=(16+2/7). (-5/3)-(28+2/7).(-5/3)`
`=(-5/3).(16+2/7-28-2/7)`
`=(-5/3).(-12)`
`=60/3`
`=20`
`c)`
`5:(-5/2)^{2}+2/15.\sqrt{9/4}-(-2022)^{0}+|-0,25|`
`=5:25/4+2/15. 3/2-1+0,25`
`=5. 4/25+\frac{2.3}{5.3.2}-1+1/4`
`=20/25+1/5-1+1/4`
`=4/5+1/5-1+1/4`
`=(4/5+1/5)-1+1/4`
`=1-1+1/4`
`=0+1/4`
`=1/4`
Hãy giúp mọi người biết câu trả lời này thế nào?
Bảng tin
5020
2298
1561
Bực mình quá