Đăng nhập để hỏi chi tiết


Hãy luôn nhớ cảm ơn và vote 5*
nếu câu trả lời hữu ích nhé!
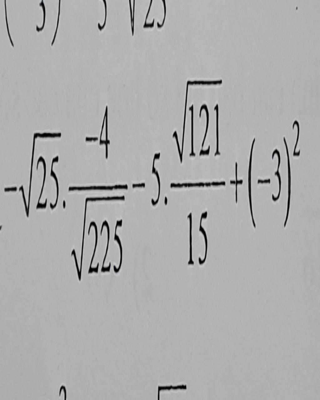
`-\sqrt25.(-4)/\sqrt225-5.\sqrt121/15+(-3)^2`
`=((-5).(-4))/15-5.11/15+9`
`=20/15-55/15+9`
`=4/3-11/3+9`
`=9-7/3`
`=27/3-7/3`
`=20/3`
Hãy giúp mọi người biết câu trả lời này thế nào?
![]()
Bảng tin