

Hãy luôn nhớ cảm ơn và vote 5*
nếu câu trả lời hữu ích nhé!
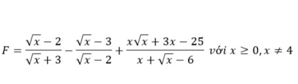
`(x >= 0, x ne4)`
`P = (sqrt(x) - 2)/(sqrt(x) + 3) - (sqrt(x) - 3)/(sqrt(x) - 2) + (x * sqrt(x) + 3x - 25)/(x + sqrt(x) - 6)= (sqrt(x) - 2)/(sqrt(x) + 3) - (sqrt(x) - 3)/(sqrt(x) - 2)+(x * sqrt(x) + 3x - 25)/((sqrt(x) + 3)(sqrt(x) - 2))= (x - 4sqrt(x) + 4 - x + 6sqrt(x) - 9 + x * sqrt(x) + 3x - 25)/((sqrt(x) + 3)(sqrt(x) - 2))= (x * sqrt(x) + 2sqrt(x) + 3x - 30)/((sqrt(x) + 3)(sqrt(x) - 2))`
`@`ngocnhuyle
Hãy giúp mọi người biết câu trả lời này thế nào?
Đáp án:
Giải thích các bước giải:
Với ` x >= 0 ; x ne 4 `
Ta có : ` P = (sqrt{x}-2)/(sqrt{x}+3) - (sqrt{x}-3)/(sqrt{x}-2) + (xsqrt{x} + 3x - 25)/(x+sqrt{x}-6) `
` P = (sqrt{x}-2)/(sqrt{x}+3) - (sqrt{x}-3)/(sqrt{x}-2) + (xsqrt{x}+3x-25)/((sqrt{x}+3)(sqrt{x}-2)) `
` P = ((sqrt{x}-2)^2 - (sqrt{x}-3)(sqrt{x}+3) + xsqrt{x}+3x-25)/((sqrt{x}+3)(sqrt{x}-2)) `
` P = ( x - 4sqrt{x}+4 - x + 6sqrt{x} - 9 + xsqrt{x} + 3x - 25 )/((sqrt{x}+3)(sqrt{x}-2)) `
` P = ( xsqrt{x} + 2sqrt{x} + 3x - 30)/((sqrt{x}+3)(sqrt{x}-2)) `
Hãy giúp mọi người biết câu trả lời này thế nào?
![]()
Bảng tin
567
490
572
Em có đc quyền vào nhóm không ạ☺️