

Hãy luôn nhớ cảm ơn và vote 5*
nếu câu trả lời hữu ích nhé!
Đáp án:
Giải thích các bước giải:
a) =64 . 81 - 64 . 25 + 64 .44
=64 . ( 81 + 25 + 44 )
=64. 150
=9600
Hãy giúp mọi người biết câu trả lời này thế nào?

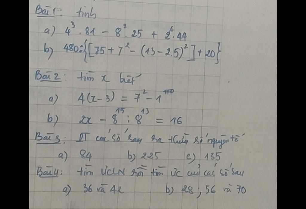
Đáp án:
Giải thích các bước giải:bài 1
a, 4 mũ 3 . 81 - 8 mũ 2 . 25 + 2 mũ 6 . 44
= 64 . 81 - 64 . 25 + 64 . 44
= 5184-1600+2816
= 6400
b/ 480 : {[75+ 7 mũ 2-(13-2.5) mũ 2]+20}
=480 : {[75+ 49 -(13-10)mũ 2 ]+20}
480 : {[124- 3 mũ 2 ]+20}
=480: {[124-9]+20}
=480: {115+20}
=480: 135
b khó thôi mik làm bài 2 v
2
a, 4. [ x -3]= 7 mũ 2 - 1 mũ 100
=4 .[ x - 3]= 49-1
=4. [ x-3]=48
=x-3= 48 :4
= x -3= 12
x=12+3
x=15
Hãy giúp mọi người biết câu trả lời này thế nào?

Bảng tin
2
291
1
sao lm có 1 bài v ạ