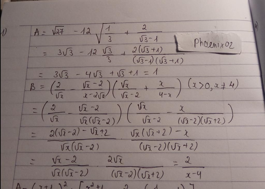
Câu 1 (2,0 điểm): Rút gọn các biểu thức sau:
1.1.(1,0 điểm) A = $\sqrt[]{27}$ - 12$\sqrt[]{\frac{1}{3}}$ + $\frac{2}{\sqrt[]{3}-1}$;
1.2.(1,0 điểm) B = ($\frac{2}{\sqrt[]{x}}$ - $\frac{\sqrt[]{x} - 2}{x-2\sqrt[]{x}}$).( $\frac{\sqrt[]{x}}{\sqrt[]{x} - 2}$ + $\frac{x}{4 - x}$) (với x>0;x $\neq$ 4).