

Hãy luôn nhớ cảm ơn và vote 5*
nếu câu trả lời hữu ích nhé!
Đáp án+Giải thích các bước giải:
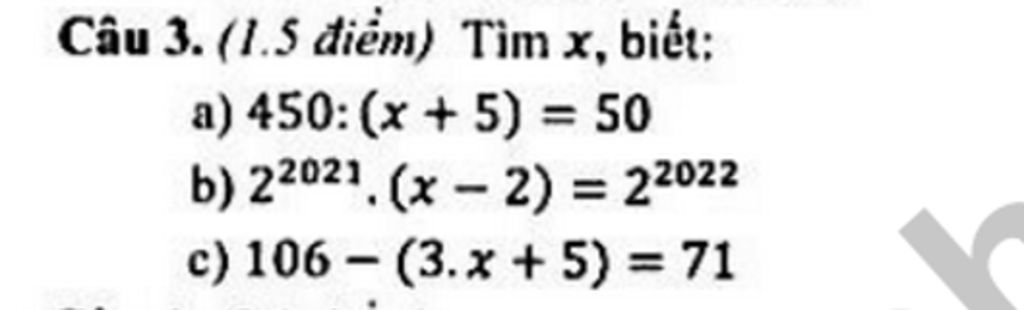
`a)`
`450:(x+5)=50`
`=>x+5=450:50`
`=>x+5=9`
`=>x=4`
Vậy `x=4`
`b)`
`2^{2021}.(x-2)=2^{2022}`
`=>x-2=2^{2022}:2^{2021}`
`=>x-2=2^{2022-2021}`
`=>x-2=2^{1}`
`=>x-2=2`
`=>x=4`
Vậy `x=4`
`c)`
`106-(3.x+5)=71`
`=>3.x+5=106-71`
`=>3.x+5=35`
`=>3.x=35-5`
`=>3.x=30`
`=>x=30:3`
`=>x=10`
Vậy `x=10`
Hãy giúp mọi người biết câu trả lời này thế nào?
`Accnswer`
`a)450:(x+5)=50`
`=>x+5=450:50`
`=>x+5=9`
`=>x=9-5`
`=>x=4`
Vậy `x=4`
`b)2^2021 .(x-2)=2^2022`
`=>x-2=2^2022:2^2021`
`=>x-2=2`
`=>x=2+2`
`=>x=4`
Vậy `x=4`
`c)106-(3x+5)=71`
`=>3x+5=106-71`
`=>3x+5=35`
`=>3x=35-5`
`=>3x=30`
`=>x=30:3`
`=>x=10`
Vậy `x=10`
Hãy giúp mọi người biết câu trả lời này thế nào?
Bảng tin