Vui lòng chỉ chọn một câu hỏi
Hoidap247.com Nhanh chóng, chính xác
+
Danh mục mới
1
1232
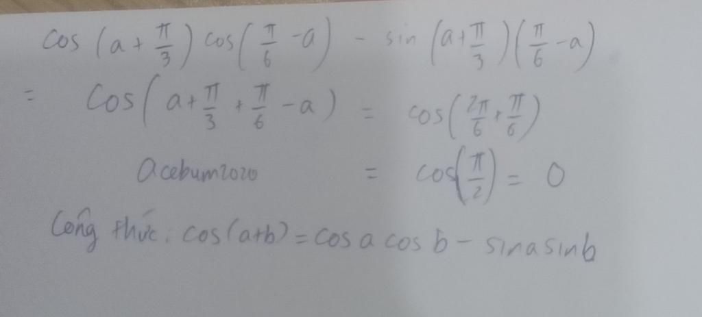
Tính cos(a + pi/3)cos(pi/6 - a) - sin(a + pi/3)sin(pi/6 -a)
Hãy luôn nhớ cảm ơn và vote 5* nếu câu trả lời hữu ích nhé!
247
4725
132
`cos(a+pi/3)cos(pi/6-a)-sin(a+pi/3)sin(pi/6-a)`
`=cos(a+pi/3+pi/6-a)`
`=cos(pi/2)`
`=0`
Hãy giúp mọi người biết câu trả lời này thế nào?
à dc bạn nhưng mà ct cộng nhanh hơn vì họ chứng minh rồi
bài b là đang làm tắt từ bước 1 sang bước 2 đúng kh, hay theo công thức luôn
theo ct luôn bạn mình dùng công thức cộng
vẫn kh hiểu sao từ bước 1 ra đc bước 2
à cos(a+pi/3+pi/6-a) =cos(a-a+pi/3+pi/6) (đoạn này a-a=0) =cos(2pi/6 + pi/6) (quy đồng pi/3 thành 2pi/6 để cùng mẫu pi/6) =cos(3pi/6) =cos(pi/2) (rút gọn) =0 (bấm máy tính, để chế độ radian)
thế đoạn trừ sin đằng sau triệt kiểu gì r
2851
29601
1517
@bngoc cau dthw quo za
ê xl nhầm ct
286
7130
298
Đáp án:0
Bảng tin
Gửi yêu cầu Hủy
247
4725
132
à dc bạn nhưng mà ct cộng nhanh hơn vì họ chứng minh rồi
1
1232
1
bài b là đang làm tắt từ bước 1 sang bước 2 đúng kh, hay theo công thức luôn
247
4725
132
theo ct luôn bạn mình dùng công thức cộng
1
1232
1
vẫn kh hiểu sao từ bước 1 ra đc bước 2
247
4725
132
à cos(a+pi/3+pi/6-a) =cos(a-a+pi/3+pi/6) (đoạn này a-a=0) =cos(2pi/6 + pi/6) (quy đồng pi/3 thành 2pi/6 để cùng mẫu pi/6) =cos(3pi/6) =cos(pi/2) (rút gọn) =0 (bấm máy tính, để chế độ radian)
1
1232
1
thế đoạn trừ sin đằng sau triệt kiểu gì r
2851
29601
1517
@bngoc cau dthw quo za
1
1232
1
ê xl nhầm ct