Đăng nhập để hỏi chi tiết


Hãy luôn nhớ cảm ơn và vote 5*
nếu câu trả lời hữu ích nhé!
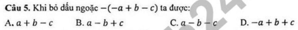
Đáp án:
`B`
Giải thích các bước giải:
`@` Lý thuyết: Khi bỏ ngoặc có dấu "`-`" đúng trước ta đổi dấu tất cả các số hạng trong ngoặc
`-(-a+b-c)=a-b+c`
Hãy giúp mọi người biết câu trả lời này thế nào?
Bảng tin