

Hãy luôn nhớ cảm ơn và vote 5*
nếu câu trả lời hữu ích nhé!
Đáp án + Giải thích các bước giải:
`a)x-9=13`
`=>x=13+9`
`=>x=22`
Vậy `x=22`
`b)150:(x+2)=25`
`=>x+2=150:25`
`=>x+2=6`
`=>x=6-2`
`=>x=4`
Vậy `x=4`
`text{Ý c:`
`(87-3x):3=10^30:10`
`=>(87-3x):3=10^29`
`=>(87-3x):3=100000000000000000000000000000`
`=>87-3x=100000000000000000000000000000.3`
`=>87-3x=300000000000000000000000000000`
`=>3x=87-300000000000000000000000000000`
`=>3x=-299999999999999999999999999913`
`=>x=-299999999999999999999999999913:3`
`=>x=−99999999999999999999999999971`
Vậy `x=−99999999999999999999999999971`
Trong ảnh:
`(87-3x):3=5^30:5^28`
`=>(87-3x):3=5^2`
`=>(87-3x):3=25`
`=>87-3x=25.3`
`=>87-3x=75`
`=>3x=87-75`
`=>3x=12`
`=>x=12:3`
`=>x=4`
Vậy `x=4`
Hãy giúp mọi người biết câu trả lời này thế nào?
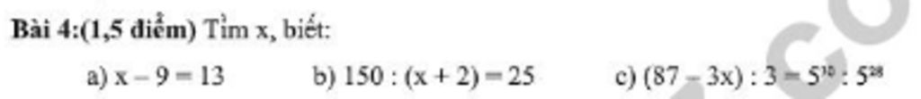
Bài `4:`
`a)x-9=13`
`=>x=13+9`
`=>x=22`
Vậy `x=22`
`b)150:(x+2)=25`
`=>x+2=150:25`
`=>x+2=6`
`=>x=6-2`
`=>x=4`
Vậy `x=4`
`c)` `(87-3x):3=5^30:5^28`
`=>(87-3x):3=5^2`
`=>(87-3x):3=25`
`=>87-3x=25.3`
`=>87-3x=75`
`=>3x=87-75`
`=>3x=12`
`=>x=12:3`
`=>x=4`
Vậy `x=4`
Hãy giúp mọi người biết câu trả lời này thế nào?
Bảng tin