

Hãy luôn nhớ cảm ơn và vote 5*
nếu câu trả lời hữu ích nhé!
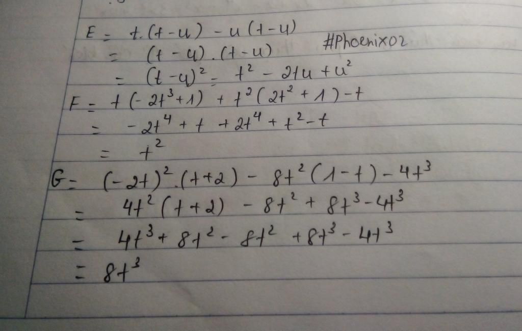
Đáp án`+`Giải thích các bước giải:
`a, E = t(t - u) - u(t -u)`
`=> E = t^2- tu - tu + u^2`
`=> E = t^2 - 2tu + u^2`
Vậy `E = t^2 - 2tu + u^2`
`b, F = t(-2t^3 +1) +t^2 (2t^2 +1) - t`
`=> F = -2t^4 + t + 2t^4 + t^2 - t`
`=> F = t^2`
Vậy `F = t^2`
`c, G = (-2t)^2 (t +2) - 8t^2 (1 -t) - 4t^3`
`=> G = 4t^2 (t +2) - 8t^2 + 8t^3 - 4t^3`
`=> F = 4t^3 + 8t^2 - 8t^2 + 4t^3`
`=> F= 8t^3`
Vậy `F= 8t^3`
`@`Duongg7109612009
Hãy giúp mọi người biết câu trả lời này thế nào?

Bảng tin