Vui lòng chỉ chọn một câu hỏi
Hoidap247.com Nhanh chóng, chính xác
+
Danh mục mới
8
300
12
Hãy luôn nhớ cảm ơn và vote 5* nếu câu trả lời hữu ích nhé!
263
4204
250
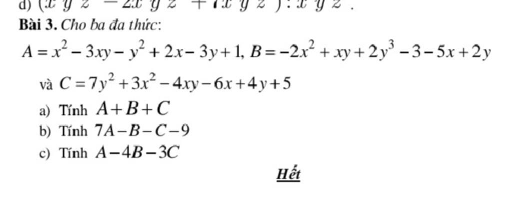
Đáp án:
bài làm
Giải thích các bước giải:
Hãy giúp mọi người biết câu trả lời này thế nào?
Bảng tin
Gửi yêu cầu Hủy