Vui lòng chỉ chọn một câu hỏi
Hoidap247.com Nhanh chóng, chính xác
+
Danh mục mới
0
10
Hãy luôn nhớ cảm ơn và vote 5* nếu câu trả lời hữu ích nhé!
170
5488
326
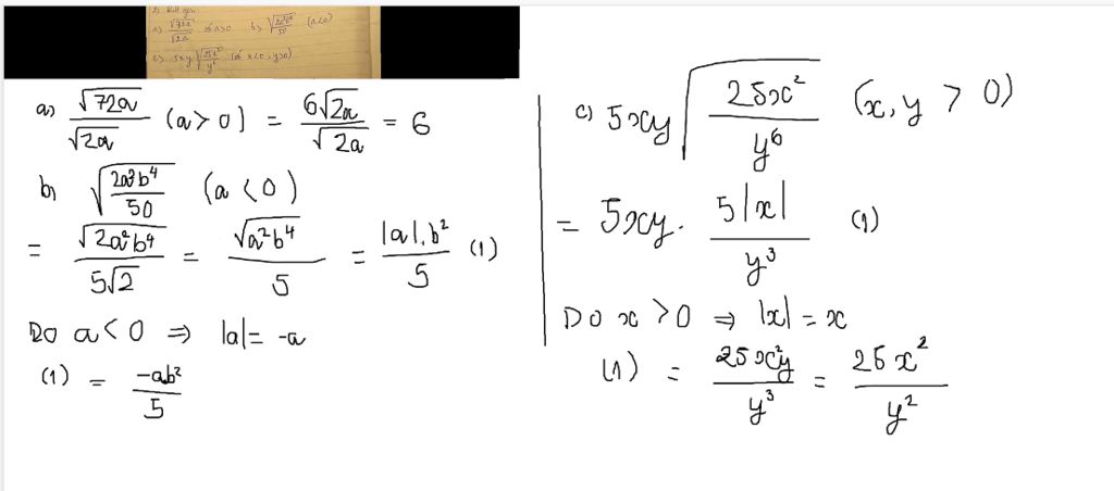
Trong ảnh nhé, nếu có gì băn khoăn thì cứ hỏi nha
Hãy giúp mọi người biết câu trả lời này thế nào?
Xem thêm:
Bảng tin
Gửi yêu cầu Hủy