

Hãy luôn nhớ cảm ơn và vote 5*
nếu câu trả lời hữu ích nhé!
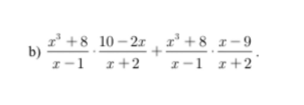
`(x^3 + 8)/(x - 1) . (10 -2x)/(x + 2) + (x^3 + 8)/(x - 1) . (x - 9)/(x + 2)`
`=` `(x^3 + 8)/(x - 1) . ((10 - 2x)/(x + 2) + (x - 9)/(x+ 2))`
`=` `(x^3 + 8)/(x - 1) . (10 - 2x + x - 9)/(x + 2)`
`=` `(x^3 + 8)/(x - 1) . (1 - x)/(x + 2)`
`=` `((x + 2)(x^2 - 2x + 4))/(x - 1) . (-(x - 1))/(x + 2)`
`=` `-x^2 + 2x - 4`
Hãy giúp mọi người biết câu trả lời này thế nào?
Bảng tin
1905
1453
1456
Tháng sau nhóm tớ có envent cậu tham gia k ạ ? -> Tớ ko nhé
0
-2027
1
dạ e đây
0
-2027
1
cho e xin zalo r e gth cho
1905
1453
1456
????
1905
1453
1456
Mk chx hiểu
0
-2027
1
e nè
1905
1453
1456
Có fb thôi à
1905
1453
1456
Mk k có zalo