Tham Gia Group Dành Cho Lớp 6 Chia Sẻ, Trao Đổi Tài Liệu Miễn Phí
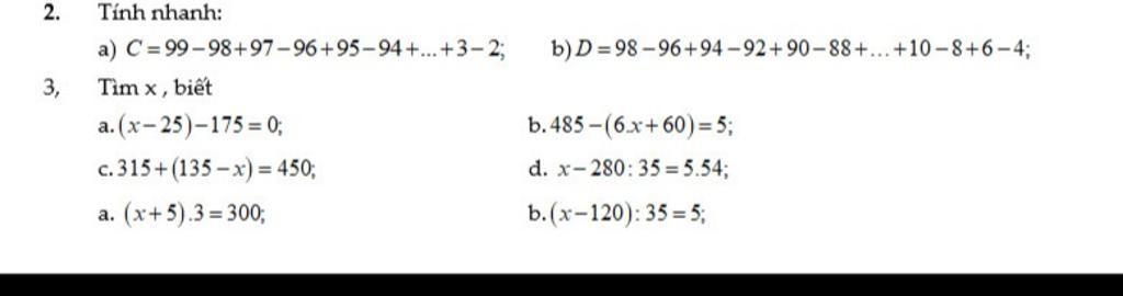
2. Tính nhanh:
3,
a) C=99-98+97-96+95-94+...+3-2;
Tìm x, biết
a. (x-25)-175= 0;
c. 315+(135-x) = 450;
a.
1. (x+5).3=300;
b) D=98-96+94-92+90-88+...+10-8+6-4;
b.485-(6x+60) = 5;
d. x-280: 35=5.54;
b.(x-120): 35= 5;