Đăng nhập để hỏi chi tiết


Hãy luôn nhớ cảm ơn và vote 5*
nếu câu trả lời hữu ích nhé!
Đáp án:
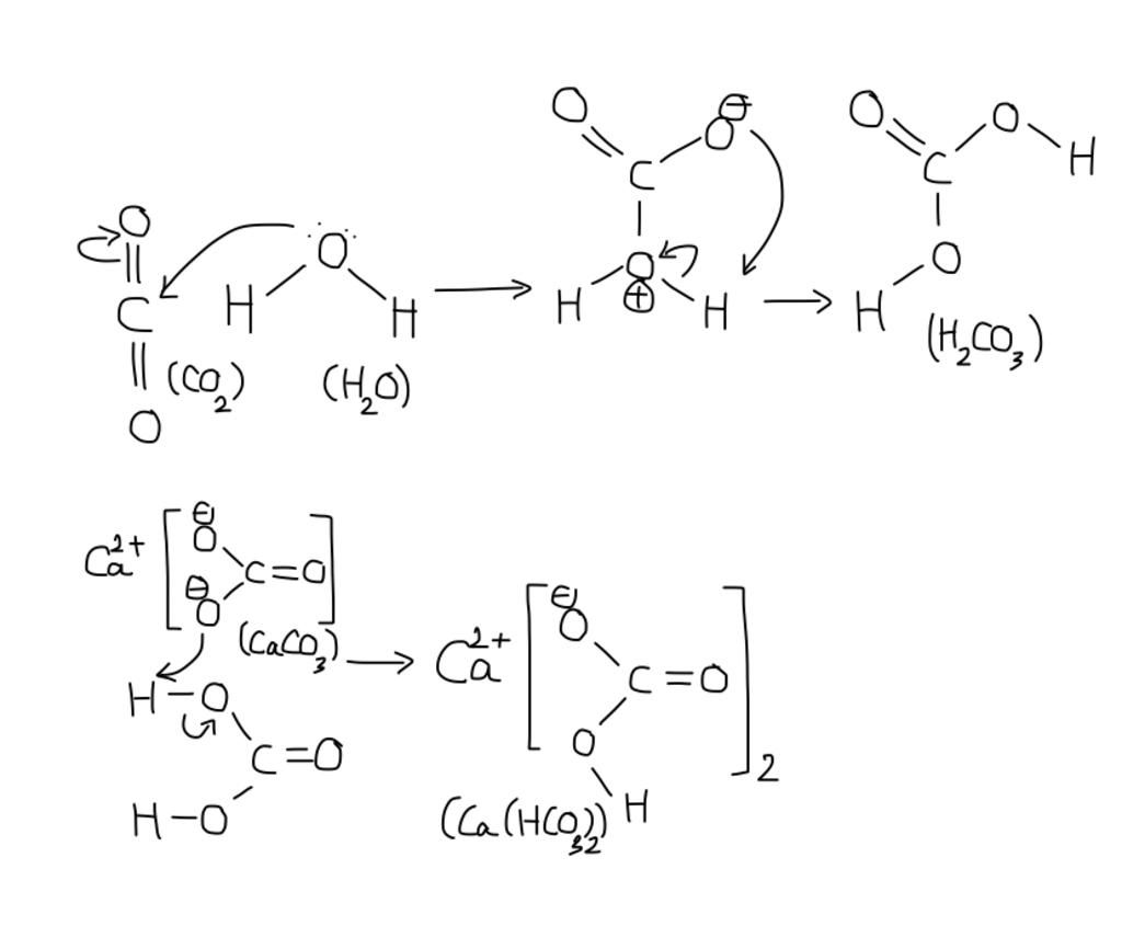
PT: $CaCO_{3}$ + $H_{2}$$O_{}$ + $CO_{2}$ $\rightarrow$ $Ca(HCO_{3}$$)_{2}$
_ Canxi cacbonat phản ứng với cacbon đioxit trong nước tạo thành canxi hidrocacbonat .
_ Điều kiện xảy ra phản ứng ở nhiệt độ thường. Đây là phản ứng thuận nghịch tạo thạch nhũ trong hang động.
Hãy giúp mọi người biết câu trả lời này thế nào?

Bảng tin