Vui lòng chỉ chọn một câu hỏi
Hoidap247.com Nhanh chóng, chính xác
+
Danh mục mới
37
99
69
Hãy luôn nhớ cảm ơn và vote 5* nếu câu trả lời hữu ích nhé!
602
6940
328
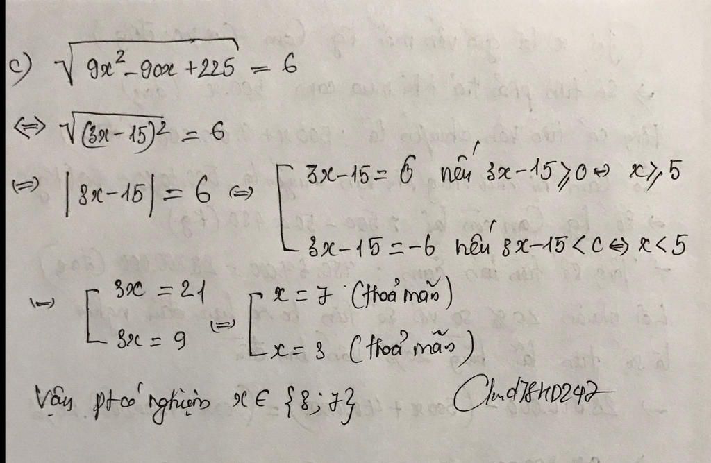
Đáp án:
Giải thích các bước giải:
Nếu ko có điều kiện thì bạn ko loại được nghiệm x=6 và x=2, và phương trình trở thành vô nghiệm
Hãy giúp mọi người biết câu trả lời này thế nào?
Kiểu này là giúp còn bị ghét :((
Xem thêm:
Xem thêm
Bảng tin
Gửi yêu cầu Hủy
602
6940
328
Kiểu này là giúp còn bị ghét :((