

Hãy luôn nhớ cảm ơn và vote 5*
nếu câu trả lời hữu ích nhé!
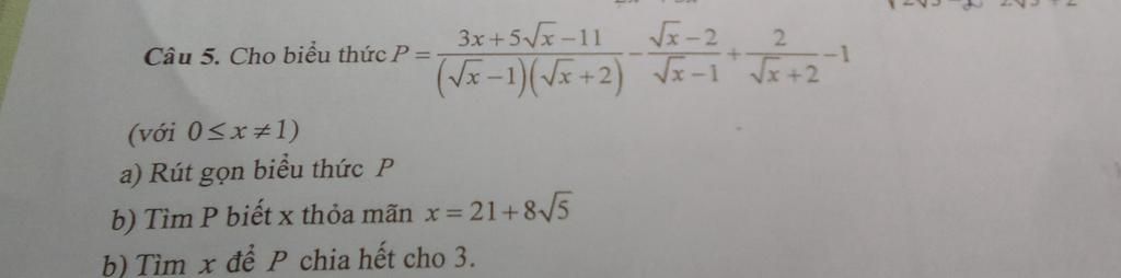
Câu `5`:
`a)`
`P=[3x+5sqrtx-11]/[(sqrtx-1)(sqrtx+2)]-[sqrtx-2]/[sqrtx-1]+2/[sqrtx+2]-1 (0<=x ne 1)`
`P=[3x+5sqrtx-11]/[(sqrtx-1)(sqrtx+2)]-[(sqrtx-2)(sqrtx+2)]/[(sqrtx-1)(sqrtx+2)]+[2(sqrtx-1)]/[(sqrtx-1)(sqrtx+2)]-[(sqrtx-1)(sqrtx+2)]/[(sqrtx-1)(sqrtx+2)]`
`P=[3x+5sqrtx-11-x+4+2sqrtx-2-x-2sqrtx+sqrtx+2]/[(sqrtx-1)(sqrtx+2)]`
`P=[x+6sqrtx-7]/[(sqrtx-1)(sqrtx+2)]`
`P=[(sqrtx-1)(sqrtx+7)]/[(sqrtx-1)(sqrtx+2)]`
`P=[sqrtx+7]/[sqrtx+2]`
`b)`
Thay `x=21+8sqrt5` vào `P` ta có:
`P=[sqrt[21+8sqrt5]+7]/[sqrt[21+8sqrt5]+2]`
`P=[sqrt[16+2*4sqrt5+5]+7]/[sqrt[16+2*4sqrt5+5]+2]`
`P=[sqrt[(4+sqrt5)^2]+7]/[sqrt[(4+sqrt5)^2]+2]`
`P=[4+sqrt5+7]/[4+sqrt5+2]`
`P=[11+sqrt5]/[6+sqrt5]`
`P=[(11+sqrt5)(6-sqrt5)]/[36-5]`
`P=[66-11sqrt5+6sqrt5-5]/31`
`P=[61-5sqrt5]/31`
Vậy ...
`c)`
`P vdots 3` nên
`[sqrtx+7]/[sqrtx+2] vdots 3`
`=> [sqrtx+7]/[sqrtx+2] in Ư(3)`
`=> [sqrtx+7]/[sqrtx+2] in {+-1;+-3}`
Giải các trường hợp trên, ta có `x=1/4(text[TM])`.
Vậy `x=1/4` thỏa mãn ycđb.
#BKT
Hãy giúp mọi người biết câu trả lời này thế nào?

Bảng tin