Đăng nhập để hỏi chi tiết


Hãy luôn nhớ cảm ơn và vote 5*
nếu câu trả lời hữu ích nhé!
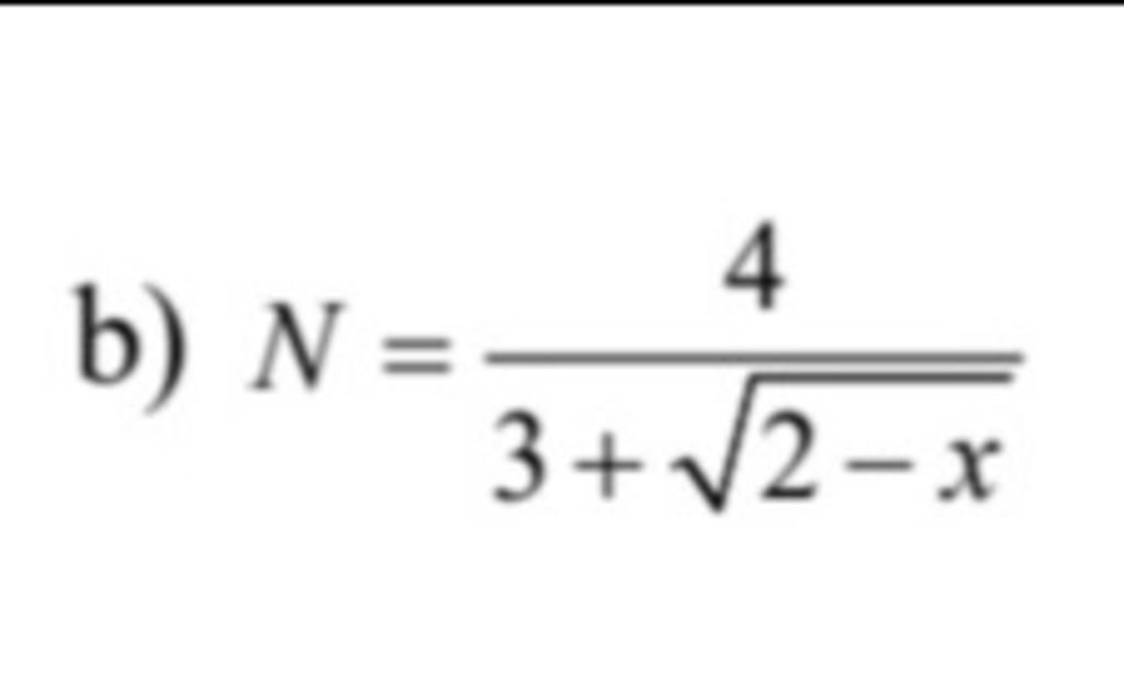
`ĐK: x <= 2`
Ta có `:`
`sqrt[2-x] >= 0 AA x <= 2`
`=> 3 + sqrt[2-x] >= 3 AA x <= 2`
`=> 4/[3 + sqrt[2-x]] <= 4/3 AA x <= 2`
`=> N <= 4/3`
`=> GTLN_N = 4/3` khi `sqrt[2-x] = 0 => x = 2(N)`
Hãy giúp mọi người biết câu trả lời này thế nào?
Bảng tin