Đăng nhập để hỏi chi tiết


Hãy luôn nhớ cảm ơn và vote 5*
nếu câu trả lời hữu ích nhé!
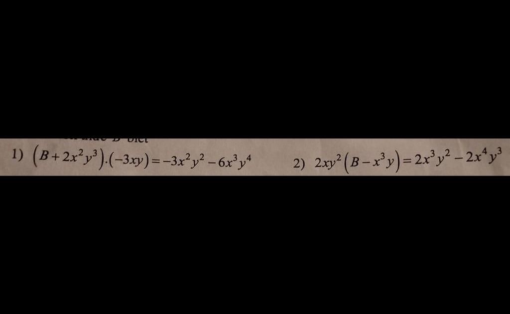
`1.`
`(B+2x^2y^3).(-3xy)=-3x^2y^2 - 6x^3y^4`
`⇔B+2x^2y^3=(-3x^2y^2 - 6x^3y^4):(-3xy)`
`⇔B+2x^2y^3=xy + 2x^2y^3`
`⇔B=xy + 2x^2y^3- 2x^2y^3`
`⇔B=xy`
Vậy, `B=xy`
`2.`
`2xy^2(B-x^3y)=2x^3y^2 -2x^4y^3`
`⇔B-x^3y=(2x^3y^2 -2x^4y^3):2xy^2`
`⇔B-x^3y=x^2 - x^3y`
`⇔B=x^2- x^3y + x^3y`
`⇔B=x^2`
Vậy, `B=x^2`
`#` $kiddd$
Hãy giúp mọi người biết câu trả lời này thế nào?
![]()
Bảng tin