Đăng nhập để hỏi chi tiết


Hãy luôn nhớ cảm ơn và vote 5*
nếu câu trả lời hữu ích nhé!
Đáp án:
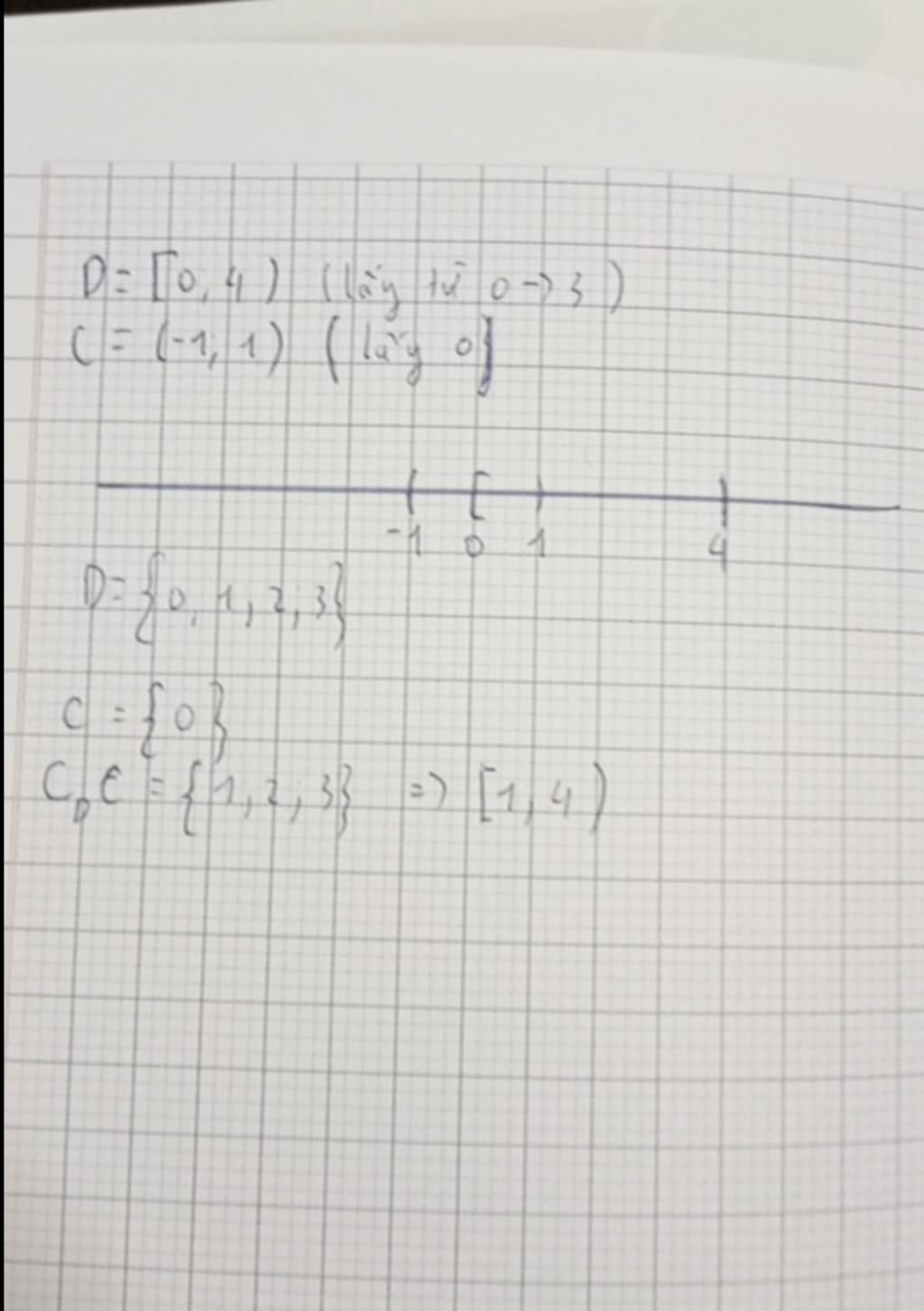
C=(-1;1) D=[0;4)
phần bù: [1;4)
những phần tử thuộc D nhưng không thuộc C là phần bù của C trong D
Hãy giúp mọi người biết câu trả lời này thế nào?
Bảng tin
0
30
0
mình k bt cách giải