

Hãy luôn nhớ cảm ơn và vote 5*
nếu câu trả lời hữu ích nhé!
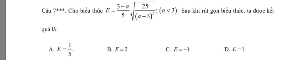
Giải thích các bước giải:
`(3 - a)/5 \sqrt{25/(a - 3)^2} (a < 3)`
`= (3 - a)/5 \sqrt{(5/(a - 3))^2}`
`= (3 - a)/5 . 5/|(a - 3)|`
`= (3 - a)/5 . 5/(3 - a)`
`= 1`
Do `a < 3 => |a - 3| = 3 - a`
`-> D`
Hãy giúp mọi người biết câu trả lời này thế nào?
Bảng tin