Đăng nhập để hỏi chi tiết


Hãy luôn nhớ cảm ơn và vote 5*
nếu câu trả lời hữu ích nhé!
Đáp án+Giải thích các bước giải:
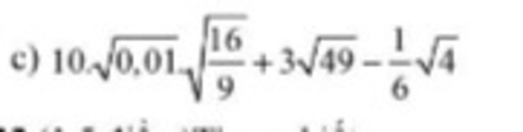
`10.\sqrt{0,01}.\sqrt{16/9}+3\sqrt{49}-1/6 \sqrt{4}`
`=10. 1/10 . 4/3 +3.7-1/6 .2`
`=1. 4/3 + 21 -1/3`
`=4/3+21 -1/3`
`=67/3 -1/3`
`=66/3=22`
Hãy giúp mọi người biết câu trả lời này thế nào?

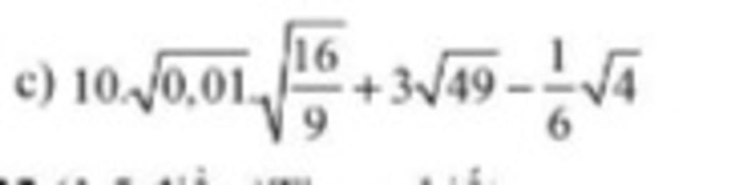
10.$\sqrt{0,01}$.$\sqrt{\frac{16}{9}}$+3.$\sqrt{49}$-$\frac{1}{6}$.$\sqrt{4}$
=10.0,1.$\frac{4}{3}$+3.7-$\frac{1}{6}$.2
=$\frac{4}{3}$+$\frac{63}{3}$-$\frac{1}{3}$
=$\frac{66}{3}$
=22
Hãy giúp mọi người biết câu trả lời này thế nào?

Bảng tin
20
6943
4
mình camon nhok
371
12344
374
Kcj