

Hãy luôn nhớ cảm ơn và vote 5*
nếu câu trả lời hữu ích nhé!
Đáp án + Giải thích các bước giải:
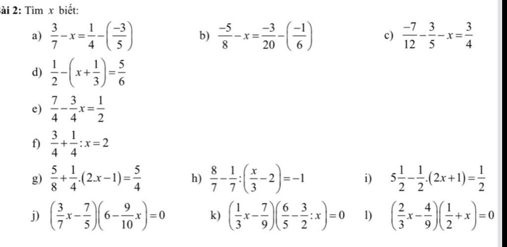
$a^{}$, $\frac{3}{7}$ - $x^{}$ = $\frac{1}{4}$ - ($\frac{-3}{5}$)
$\frac{3}{7}$ - $x^{}$ = $\frac{1}{4}$ + $\frac{3}{5}$
$\frac{3}{7}$ - $x^{}$ = $\frac{17}{20}$
$x^{}$ = $\frac{3}{7}$ - $\frac{17}{20}$
$x^{}$ = $\frac{3}{7}$ - $\frac{17}{20}$
$x^{}$ = $\frac{-59}{140}$
$b^{}$, $\frac{-5}{6}$ - $x^{}$ = $\frac{-3}{20}$ - ($\frac{-1}{6}$)
$\frac{-5}{6}$ - $x^{}$ = $\frac{-3}{20}$ + $\frac{1}{6}$
$\frac{-5}{6}$ - $x^{}$ = $\frac{1}{60}$
$x^{}$ = $\frac{-50}{60}$ - $\frac{1}{60}$
$x^{}$ = $\frac{-17}{20}$
$c^{}$, $\frac{-7}{12}$ - $\frac{3}{5}$ - $x^{}$ = $\frac{3}{4}$
$\frac{-71}{60}$ - $x^{}$ = $\frac{3}{4}$
$x^{}$ = $\frac{-71}{60}$ - $\frac{1}{60}$
$x^{}$ = $\frac{-72}{60}$
$x^{}$ = $\frac{-6}{5}$
$d^{}$, $\frac{1}{2}$ - ( $x^{}$ + $\frac{1}{3}$ ) = $\frac{5}{6}$
$x^{}$ + $\frac{1}{3}$ = $\frac{1}{2}$ - $\frac{5}{6}$
$x^{}$ + $\frac{1}{3}$ = $\frac{-1}{3}$
$x^{}$ = $\frac{-1}{3}$ - $\frac{1}{3}$
$x^{}$ = $\frac{-2}{3}$
$e^{}$, $\frac{7}{4}$ - $\frac{3}{4}$$x^{}$ = $\frac{1}{2}$
$\frac{3}{4}$$x^{}$ = $\frac{7}{4}$ - $\frac{1}{2}$
$\frac{3}{4}$$x^{}$ = $\frac{5}{4}$
$x^{}$ = $\frac{5}{4}$ : $\frac{3}{4}$
$x^{}$ = $\frac{5}{3}$
$f^{}$, $\frac{3}{4}$ + $\frac{1}{4}$:$x^{}$ = $2^{}$
$\frac{1}{4}$:$x^{}$ = $2^{}$ - $\frac{3}{4}$
$\frac{3}{4}$:$x^{}$ = $\frac{5}{4}$
$x^{}$ = $\frac{3}{4}$ : $\frac{5}{4}$
$x^{}$ = $\frac{3}{5}$
##luoiqs
Hãy giúp mọi người biết câu trả lời này thế nào?

Bảng tin