

Hãy luôn nhớ cảm ơn và vote 5*
nếu câu trả lời hữu ích nhé!
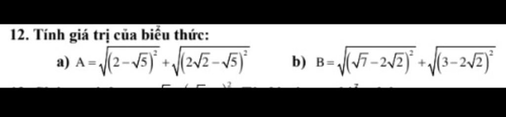
Đáp án`+`Giải thích các bước giải:
`a, A = \sqrt{(2 - \sqrt{5})^2} + \sqrt{(2\sqrt{2} - \sqrt{5})^2}`
`=> A= |2 - \sqrt{5}| + |2\sqrt{2} - \sqrt{5}|`
`=> A= \sqrt{5} -2 + 2\sqrt{2} - \sqrt{5}`
`=> A = 2\sqrt{2} - 2`
Vậy `A = 2\sqrt{2}- 2`
`b,B = \sqrt{(\sqrt{7} - 2\sqrt{2})^2} + \sqrt{(3 -2\sqrt{2})^2}`
`=> B= |\sqrt{7} - 2\sqrt{2}| + |3 - 2\sqrt{2}|`
`=> B = 2\sqrt{2} -\sqrt{7} + 3 - 2\sqrt{2}`
`=> B = 3 - \sqrt{7}`
Vậy `B = 3 -\sqrt{7}`
`@`duong612009
Hãy giúp mọi người biết câu trả lời này thế nào?
Đáp án +Giải thích các bước giải
`a)`
`A=sqrt{(2-sqrt{5})^2}+sqrt{(2sqrt{2}-5)^2}`
`=|2-sqrt{5}|+|2sqrt{2}-5|`
`=sqrt{5}-2+2sqrt2-sqrt5`
`=-2+2sqrt2`
`b)`
`B=sqrt{(sqrt{7}-2sqrt{2})^2}+sqrt{(3-2sqrt{2})^2}`
`=|sqrt{7}-2sqrt{2}|+|3-2sqrt{2}|`
`=2sqrt{2}-sqrt{7}+3-2sqrt{2}`
`=3-sqrt{7}`
Hãy giúp mọi người biết câu trả lời này thế nào?
Bảng tin