Tham Gia Group Dành Cho Lớp 9 - Ôn Thi Vào Lớp 10 Miễn Phí
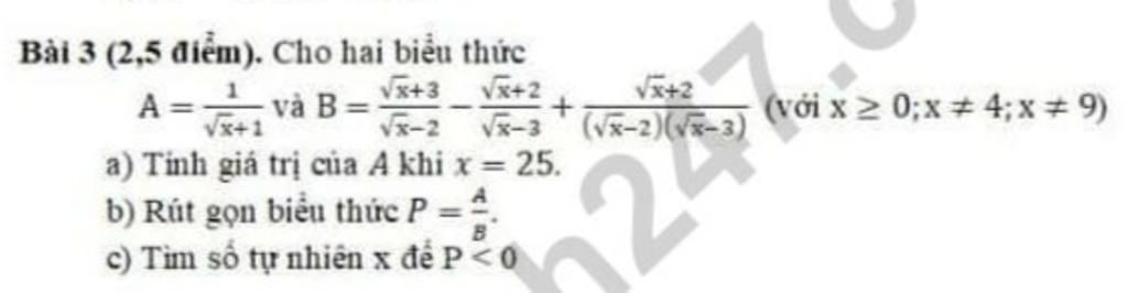
Bài 3 (2,5 điểm). Cho hai biểu thức
A=-
v
a) Tỉnh giá trị của A khi x = 25.
b) Rút gọn biểu thức P = A
c) Tìm số tự nhiên x để P<0
B
vài và B= vt3
-
√x-2 √-3
√x+2
(√√x-2)(√x-3)
h24
(với x > 0;x = 4;x=9)