Vui lòng chỉ chọn một câu hỏi
Hoidap247.com Nhanh chóng, chính xác
+
Danh mục mới
0
45
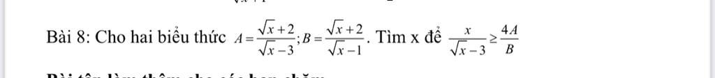
Giúp mình với ạ cảm ơn
Xem thêm:
Bảng tin
Gửi yêu cầu Hủy