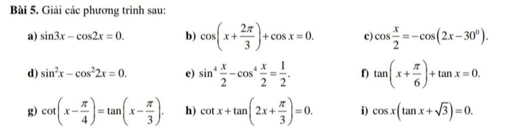
Bài 5. Giải các phương trình sau:
a) sin3x-cos2x = 0.
d) sin²x -cos²2x = 0.
g) cot(x-7)=tan(x-7).
3
b) cos x++
co
e) sin
(27)
3
2
+cos x = 0.
-Cos4x
2
1
=-
2
T
h) cotx+tan 2x+
3
= 0.
X
c) cos =-cos(2x-30°).
2
T
f) tan x++tan x = 0.
6
i) cos x( tan x +
+ √3)=
=0.