Vui lòng chỉ chọn một câu hỏi
Hoidap247.com Nhanh chóng, chính xác
+
Danh mục mới
0
50
Hãy luôn nhớ cảm ơn và vote 5* nếu câu trả lời hữu ích nhé!
910
570
1082
xin hn
Hãy giúp mọi người biết câu trả lời này thế nào?
1963
26754
2111
đang cày đơn tự nhiên bật đoàn =(
hảo tn
ủa sr bn :)(
1771
496
1813
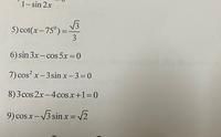
Đáp án:
Giải thích các bước giải:
Bảng tin
Gửi yêu cầu Hủy
1963
26754
2111
đang cày đơn tự nhiên bật đoàn =(
1963
26754
2111
hảo tn
910
570
1082
ủa sr bn :)(