

Hãy luôn nhớ cảm ơn và vote 5*
nếu câu trả lời hữu ích nhé!

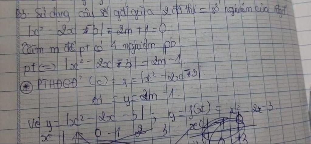
$y=|x^2-2x-3|=2m-1$
$y=\left\{ \begin{array}{l}x^2-2x-3\text{ (nếu }x^2-2x-3>0) (1) \\ -(x^2-2x-3)\text{ (nếu }x^2-2x-3<0) (2)\end{array} \right .$
$y=x^2-2x-3$
$\dfrac{-b}{2a}=\dfrac{-(-2)}{2.1}=1\Rightarrow y(1)=-4$
$a=1>0$
Với $x=0\Rightarrow y=-3$
Với $y=0\Rightarrow x=3$, $x=-1$
Đồ thị hàm số $(C): y=x^2-2x-3$ như hình vẽ
Đồ thị hàm số $y=|x^2-2x-3|$ là đồ thị gồm 2 phần (1) và (2)
$(1)$ là phần đồ thị $(C)$ nằm bên trên trục hoành
$(2)$ là phần đồ thị lấy đối xứng phần bên dưới đồ thi $(C)$
Ta được đồ thị như hình vẽ
Như vậy để phương trình có 4 nghiêm thì $0
Hãy giúp mọi người biết câu trả lời này thế nào?

Bảng tin