

Hãy luôn nhớ cảm ơn và vote 5*
nếu câu trả lời hữu ích nhé!
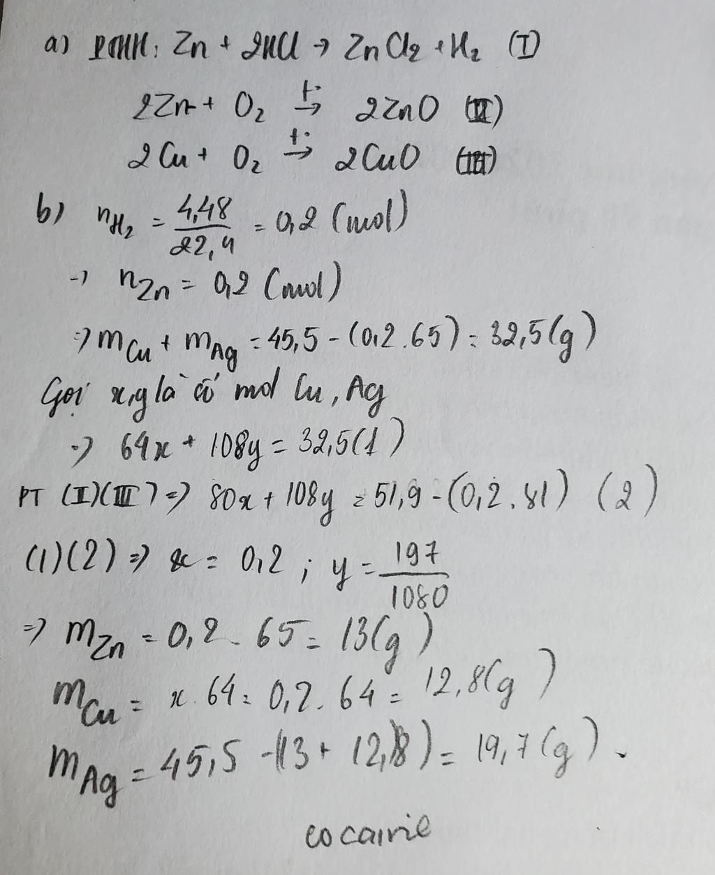
`a)`
`Zn+2HCl->ZnCl_2+H_2`
`2Zn+O_2` $\xrightarrow{t^o}$ `2ZnO`
`2Cu+O_2` $\xrightarrow{t^o}$ `2CuO`
`b)`
`n_{H_2}={4,48}/{22,4}=0,2(mol)`
Theo PT: `n_{Zn}=n_{H_2}=0,2(mol)`
Đặt `n_{Cu}=x(mol);n_{Ag}=y(mol)`
`->64x+108y=45,5-0,2.65=32,5(1)`
Theo PT: `n_{CuO}=n{Cu}=x(mol);n_{ZnO}=n_{Zn}=0,2(mol)`
`->m_{CR}=80x+108y+0,2.81=51,9`
`->80x+108y=35,7(2)`
`(1)(2)->x=0,2(mol);y={197}/{1080}(mol)`
Vậy ban đầu:
`m_{Zn}=0,2.65=13(g)`
`m_{Cu}=0,2.64=12,8(g)`
`m_{Ag}=45,5-13-12,8=19,7(g)`
Hãy giúp mọi người biết câu trả lời này thế nào?
Bảng tin
141
314
50
xóa hộ e bài dưới