Vui lòng chỉ chọn một câu hỏi
Hoidap247.com Nhanh chóng, chính xác
+
Danh mục mới
1
5947
0
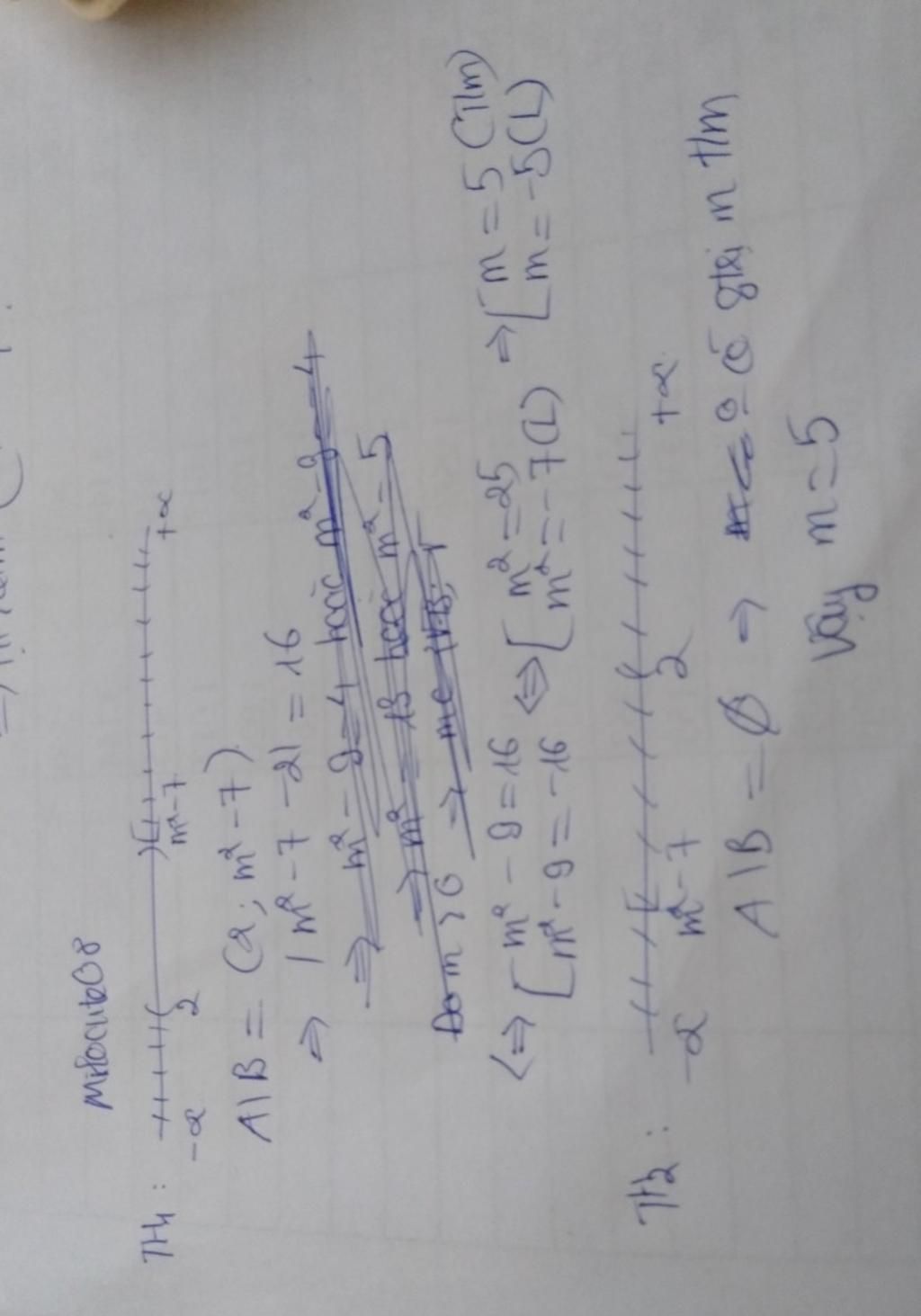
giúp e bài này với ạ🩵
Hãy luôn nhớ cảm ơn và vote 5* nếu câu trả lời hữu ích nhé!
12191
1286
12008
Hãy giúp mọi người biết câu trả lời này thế nào?
Bảng tin
Gửi yêu cầu Hủy