

Hãy luôn nhớ cảm ơn và vote 5*
nếu câu trả lời hữu ích nhé!
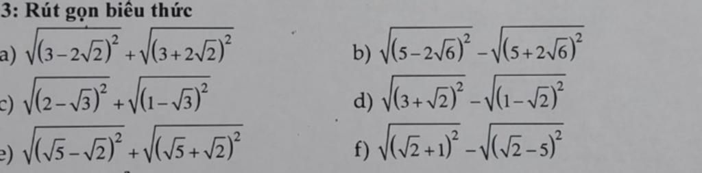
`a)`
`sqrt((3-2sqrt2)^2)+sqrt((3+2sqrt2)^2)`
`=|3-2sqrt2|+|3+2sqrt2|`
`=3-2sqrt2+3+2sqrt2`
`=6`
`b)`
`sqrt((5-2sqrt6)^2)-sqrt((5+2sqrt6)^2)`
`=|5-2sqrt6|-|5+2sqrt6|`
`=5-2sqrt6-(5+2sqrt6)`
`=5-2sqrt6-5-2sqrt6`
`=-4sqrt6`
`c)`
`sqrt((2-sqrt3)^2)+sqrt((1-sqrt3)^2)`
`=|2-sqrt3|+|1-sqrt3|`
`=2-sqrt3+sqrt3-1`
`=1`
`d)`
`sqrt((3+sqrt2)^2)-sqrt((1-sqrt2)^2)`
`=|3+sqrt2|-|1-sqrt2|`
`=3+sqrt2-(sqrt2-1)`
`=3+sqrt2-sqrt2+1`
`=4`
`e)`
`sqrt((sqrt5-sqrt2)^2)+sqrt((sqrt5+sqrt2)^2)`
`=|sqrt5-sqrt2|+|sqrt5+sqrt2|`
`=sqrt5-sqrt2+sqrt5+sqrt2`
`=2sqrt5`
`f)`
`sqrt((sqrt2+1)^2)-sqrt((sqrt2-5)^2)`
`=|sqrt2+1|-|sqrt2-5|`
`=sqrt2+1-(5-sqrt2)`
`=sqrt2+1-5+sqrt2`
`=2sqrt2-4`
`#td`
Hãy giúp mọi người biết câu trả lời này thế nào?
`a, sqrt((3 -2sqrt2)^2) + sqrt((3 + 2sqrt2)^2)`
`= |3 - 2sqrt2| + |3 +2sqrt2|`
`= 3 -2sqrt2 + 3 + 2sqrt2`
`= 6`
`b, sqrt((5 -2sqrt6)^2) - sqrt((5 +2sqrt6)^2)`
`= |5 -2sqrt6| - |5 +2sqrt6|`
`= 5 - 2sqrt6 - (5 + 2sqrt6)`
`= -4sqrt6`
`c, sqrt((2 -sqrt3)^2) + sqrt((1 -sqrt3)^2)`
`= |2 -sqrt3| + |1 -sqrt3|`
`= 2 -sqrt3 + (sqrt3 -1)`
`= 1`
`d, sqrt((3 +sqrt2)^2) - sqrt((1 -sqrt2)^2)`
`= |3+ sqrt2| - |1 -sqrt2|`
`= 3 +sqrt2 - (sqrt2 -1)`
`= 4`
`e, sqrt((sqrt5 -sqrt2)^2) + sqrt((sqrt5 +sqrt2)^2)`
`= |sqrt5 -sqrt2| + |sqrt5 + sqrt2|`
`= (sqrt5 -sqrt2) + (sqrt5 + sqrt2)`
`= 2sqrt5`
`f, sqrt((sqrt2 +1)^2) - sqrt((sqrt2 -5)^2)`
`= |sqrt2 + 1| - |sqrt2 -5|`
`= sqrt2 +1 - (5 -sqrt2)`
`= 2sqrt2 - 4`
Hãy giúp mọi người biết câu trả lời này thế nào?
Bảng tin