

Hãy luôn nhớ cảm ơn và vote 5*
nếu câu trả lời hữu ích nhé!
Đáp án+Giải thích các bước giải:
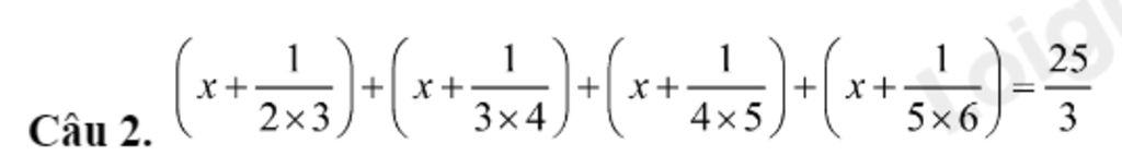
\((x+\dfrac{1}{2\times3})+(x+\dfrac{1}{3\times4})+(x+\dfrac{1}{4\times5})+(x+\dfrac{1}{5\times6})=\dfrac{25}{3}\)
\((x+x+x+x)+(\dfrac{1}{2\times3}+\dfrac{1}{3\times4}+\dfrac{1}{4\times5}+\dfrac{1}{5\times6})=\dfrac{25}{3}\)
\(4x+(\dfrac{1}{2}-\dfrac{1}{3}+\dfrac{1}{3}-\dfrac{1}{4}+\dfrac{1}{4}-\dfrac{1}{5}+\dfrac{1}{5}-\dfrac{1}{6})=\dfrac{25}{3}\)
\(4x+(\dfrac{1}{2}-\dfrac{1}{6})=\dfrac{25}{3}\)
\(4x+\dfrac{1}{3}=\dfrac{25}{3}\)
\(4x=\dfrac{25}{3}-\dfrac{1}{3}\)
\(4x=8\)
\(x=8:4\)
\(x=2\)
Hãy giúp mọi người biết câu trả lời này thế nào?
Đáp án + Giải thích các bước giải:
`(x+1/(2xx3))+(x+1/(3xx4))+(x+1/(4xx5))+(x+1/(5xx6))=25/3`
`=>x+1/2-1/3+x+1/3-1/4+x+1/4-1/5+x+1/5-1/6=25/3`
`=>(x+x+x+x)+(1/2-1/3+1/3-1/4+1/4-1/5+1/5-1/6)=25/3`
`=>4x+(1/2-1/6)=25/3`
`=>4x+3/6-1/6=25/3`
`=>4x+1/3=25/3`
`=>4x=25/3-1/3`
`=>4x=24/3=8`
`=>x=8:4`
`=>x=2`
Vậy `x=2`
Hãy giúp mọi người biết câu trả lời này thế nào?
Đáp án: x=2
Giải thích các bước giải:
$\left( {x + \frac{1}{{2 \times 3}}} \right) + \left( {x + \frac{1}{{3 \times 4}}} \right) + \left( {x + \frac{1}{{4 \times 5}}} \right) + \left( {x + \frac{1}{{5 \times 6}}} \right) = \frac{{25}}{3}$
$4 \times x + \left( {\frac{1}{{2 \times 3}} + \frac{1}{{3 \times 4}} + \frac{1}{{4 \times 5}} + \frac{1}{{5 \times 6}}} \right) = \frac{{25}}{3}$
$4 \times x + \left( {\frac{1}{2} - \frac{1}{3} + \frac{1}{3} - \frac{1}{4} + \frac{1}{4} - \frac{1}{5} + \frac{1}{5} - \frac{1}{6}} \right) = \frac{{25}}{3}$
$4 \times x + \left( {\frac{1}{2} - \frac{1}{6}} \right) = \frac{{25}}{3}$
$4 \times x + \frac{1}{3} = \frac{{25}}{3}$
$4 \times x = \frac{{25}}{3} - \frac{1}{3}$
$4 \times x = 8$
$x = 2$
Đáp số: x = 2
Bảng tin
4691
13795
4612
chết r trg nhóm ơi, nãy mik lỡ nghịch ngu đổi avt nhóm, có sao k ạ:(((
1164
181
696
Không ạ, giờ nhóm do bạn quản lí mà.
4691
13795
4612
bạn ơi, có mấy bạn muốn tg nhóm í ạ
4691
13795
4612
Ko bt có mở lại k ạ?