

Hãy luôn nhớ cảm ơn và vote 5*
nếu câu trả lời hữu ích nhé!
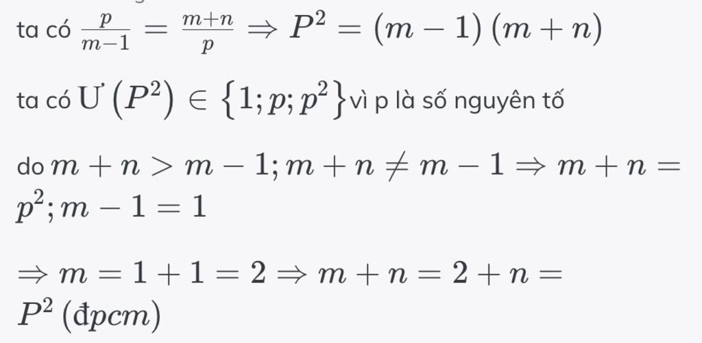
`p/(m-1)=(m+n)/p` với `m;n\in NN`* và `p` là số nguyên tố
$\bullet$ Nếu `p\vdots m-1=>m-1\in Ư(p)={+-1;+-p}`
Mà `m` là số nguyên dương `=>m-1>=0=>m-1\in{p;1}`
$*$ Với `m-1=p=>m=p+1`, khi đó biểu thức ban đầu trở thành : `p/(p+1-1)=(p+1+n)/p`
`=>p/p=(p+1+n)/p`
`=>p=p+1+n=>n+1=0` ( Vô lý `AAn\in NN`* )
$*$ Với `m-1=1=>m=2`, khi đó biểu thức ban đầu trở thành :`p/(2-1)=(n+2)/p`
`=>p=(n+2)/p=>p^2 =n+2`
$\bullet$ Nếu `p` không chia hết cho `m-1=>m+n` không chia hết cho `p`
Ta có : `p/(m-1)=(m+n)/p=>p^2 =(m-1)(m+n)`
Do `m+n` không chia hết cho `p`, mà `p` là số nguyên tố `=>` $\begin{cases}m+n=1\\m-1=p^2 \end{cases}$
`=>` $\begin{cases}m+n=1\\m-(m+n)=p^2 \end{cases}$ `=>` $\begin{cases}m+n=1\\ n= -p^2 <0(\text{ vô lý }∀n∈\mathbb{N}*)\end{cases}$
Vậy `p^2 =n+2`
Hãy giúp mọi người biết câu trả lời này thế nào?

Bảng tin

1580
21973
1775
giỏi zữ tr :>> share bí kíp cho tui đc ko ông :>>
2285
19835
2283
Bạn bao nhiêu tuổi
1580
21973
1775
mik 2k9 ạ :<
2285
19835
2283
ok