

Hãy luôn nhớ cảm ơn và vote 5*
nếu câu trả lời hữu ích nhé!
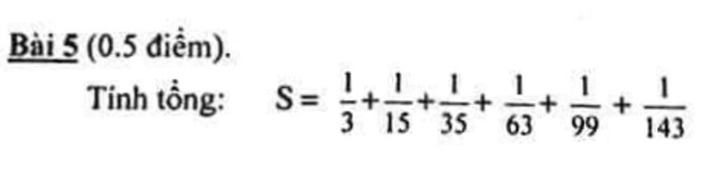
Bài `5` :
`S=1/3+1/15+1/35+1/63+1/99+1/143`
`=1/2(2/3+2/15+2/35+2/63+2/99+2/143)`
`=1/2(2/(1.3)+2/(3.5)+2/(5.7)+2/(7.9)+2/(9.11)+2/(11.13))`
`=1/2(1-1/3+1/3-1/5+1/5-1/7+1/7-1/9+1/9-1/11+1/11-1/13)`
`=1/2(1-1/13)=1/2 . 12/13 =6/13`
Vậy `S=6/13`
Hãy giúp mọi người biết câu trả lời này thế nào?
`Accnswer`
`S=1/3+1/15+1/35+1/63+1/99+1/143`
`=1/2 .(2/3+2/15+2/35+2/63+2/99+2/143`
`=1/2 .(2/1.3+2/3.5+...+2/11.13)`
`=1/2 .(1/1-1/3+1/3-1/5+...+1/11-1/13)`
`=1/2 .(1-1/13)`
`=1/2 . 12/13`
`=6/13`
Vậy `S=6/13`
Hãy giúp mọi người biết câu trả lời này thế nào?
Bảng tin