

Hãy luôn nhớ cảm ơn và vote 5*
nếu câu trả lời hữu ích nhé!
Đáp án + Giải thích các bước giải:
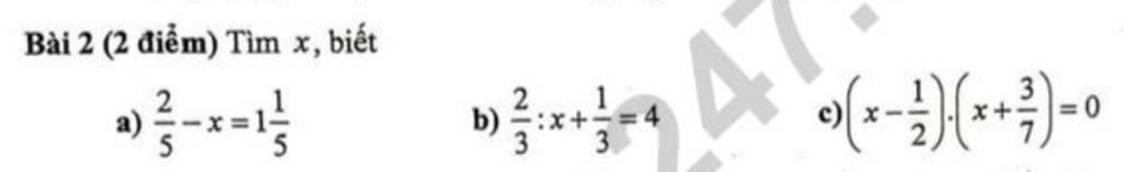
`a)2/5-x=1\1/5`
`=>2/5-x=6/5`
`=>x=2/6-6/5`
`=>x=-4/5`
Vậy `x=-4/5`
`b)2/3:x+1/3=4`
`=>2/3:x=4-1/3`
`=>2/3:x=12/3-1/3`
`=>2/3:x=11/3`
`=>x=2/3:11/3`
`=>2/3. 3/11`
`=>x=2/11`
Vậy `x=2/11`
`c)(x-1/2).(x+3/7)=0`
`=>x-1/2=0` hoặc `x+3/7=0`
`=>x=0+1/2` hoặc `x=0-3/7`
`=>x=1/2` hoặc `x=-3/7`
Vậy `x in{1/2;-3/7}`
Hãy giúp mọi người biết câu trả lời này thế nào?
Đáp án+Giải thích các bước giải:
`a)`
`2/5-x=1 1/5`
`=>x=2/5- 1 1/5`
`=>x=2/5-(1+1/5)`
`=>x=2/5-1-1/5`
`=>x=1/5-1`
`=>x=1/5-5/5`
`=>x=-4/5`
Vậy `x=-4/5`
`b)`
`2/3:x+1/3=4`
`=>2/3:x=4-1/3`
`=>2/3:x=12/3-1/3`
`=>2/3:x=11/3`
`=>x=2/3: 11/3`
`=>x=2/3. 3/11`
`=>x=2/11`
Vậy `x=2/11`
`c)`
`(x-1/2).(x+3/7)=0`
`+)TH1:x-1/2=0`
`=>x=1/2`
`+)TH2:x+3/7=0`
`=>x=-3/7`
Vậy `x\in{1/2;-3/7}`
Hãy giúp mọi người biết câu trả lời này thế nào?
Bảng tin