Đăng nhập để hỏi chi tiết


Hãy luôn nhớ cảm ơn và vote 5*
nếu câu trả lời hữu ích nhé!
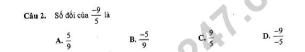
Đáp án:
`C` và `D`
Giải thích các bước giải:
`@` Ta có:
`(-9)/(-5)=(-9):(-5)` mà hai số âm chia cho nhau được một số dương nên `(-9):(-5)=9/5`
`=>(-9)/-5=9/5`
`***`Số đối của `(-9)/5` là: `9/5`
`@` Số đối của `a` là `-a` và tổng của hai số đối bằng `0`
Hãy giúp mọi người biết câu trả lời này thế nào?
Bảng tin