

Hãy luôn nhớ cảm ơn và vote 5*
nếu câu trả lời hữu ích nhé!
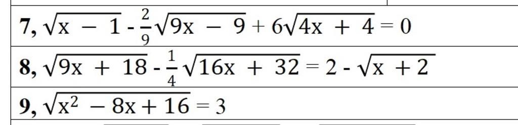
`8)\sqrt{9x+18}-1/4\sqrt{16x+32}=2-\sqrt{x+2}` ( Đk : `x>= -2` )
`=>\sqrt{9.(x+2)}-1/4\sqrt{16.(x+2)}=2-\sqrt{x+2}`
`=>3\sqrt{x+2}-\sqrt{x+2}+\sqrt{x+2}=2`
`=>2\sqrt{x+2}=2`
`=>\sqrt{x+2}=1`
`=>x+2=1`
`=>x=1-2`
`=>x=-1(tm)`
`to` Vậy `x=-1`
`9)\sqrt{x^2-8x+16}=3` ( Đk : `x in R` )
`=>x^2-8x+16=9`
`=>x^2-8x+16-9=0`
`=>x^2-8x+7=0`
`=>(x^2-x)-(7x-7)=0`
`=>x.(x-1)-7.(x-1)=0`
`=>(x-1).(x-7)=0`
`=>x-1=0` hoặc `x-7=0`
`=>x=1(tm)` hoặc `x=7(tm)`
`to` Vậy `x in {1;7}`
Hãy giúp mọi người biết câu trả lời này thế nào?
![]()
Đáp án: + Giải thích các bước giải:
`7. sqrt(x-1) -2/9 sqrt(9x-9) + 6sqrt(4x+4) =0` `(x>=1)`
`⇔ sqrt(x-1) - 2/9 . 3 . sqrt(x-1) + 6.2.sqrt(x+1)=0`
`⇔ sqrt(x-1) - 2/3 sqrt(x-1) + 12sqrt(x+1)=0`
`⇔ 1/3 sqrt(x-1) + 12sqrt(x+1)=0`
Ta có : ` 1/3 sqrt(x-1) + 12sqrt(x+1) > 0 ∀x ≥1`
`⇒` `x` `∈` `∅`
Vậy `x` `∈` `∅`
`8. sqrt(9x+18) - 1/4 sqrt(16x+32) = 2-sqrt(x+2)` `(x>=-2)`
`⇔ 3sqrt(x+2) - 1/4 . 4sqrt(x+2) + sqrt(x+2)=2`
`⇔ 3sqrt(x+2)-sqrt(x+2)+sqrt(x+2)=2`
`⇔ sqrt(x+2)=2/3`
`⇔ x+2=4/9`
`⇔ x = -{14}/9` (TMĐK)
Vậy `x=-{14}/9`
`9. sqrt(x^2-8x+16)=3`
`⇔ sqrt((x-4)^2) = 3`
`⇔ |x-4| = 3`
`⇒` `x` `∈` `{1,7}`
Vậy `x` `∈` `{1,7}`
Hãy giúp mọi người biết câu trả lời này thế nào?
![]()
Bảng tin
4458
115012
4238
Câu 8 sai b ơi