

Hãy luôn nhớ cảm ơn và vote 5*
nếu câu trả lời hữu ích nhé!
Đáp án+Giải thích các bước giải:
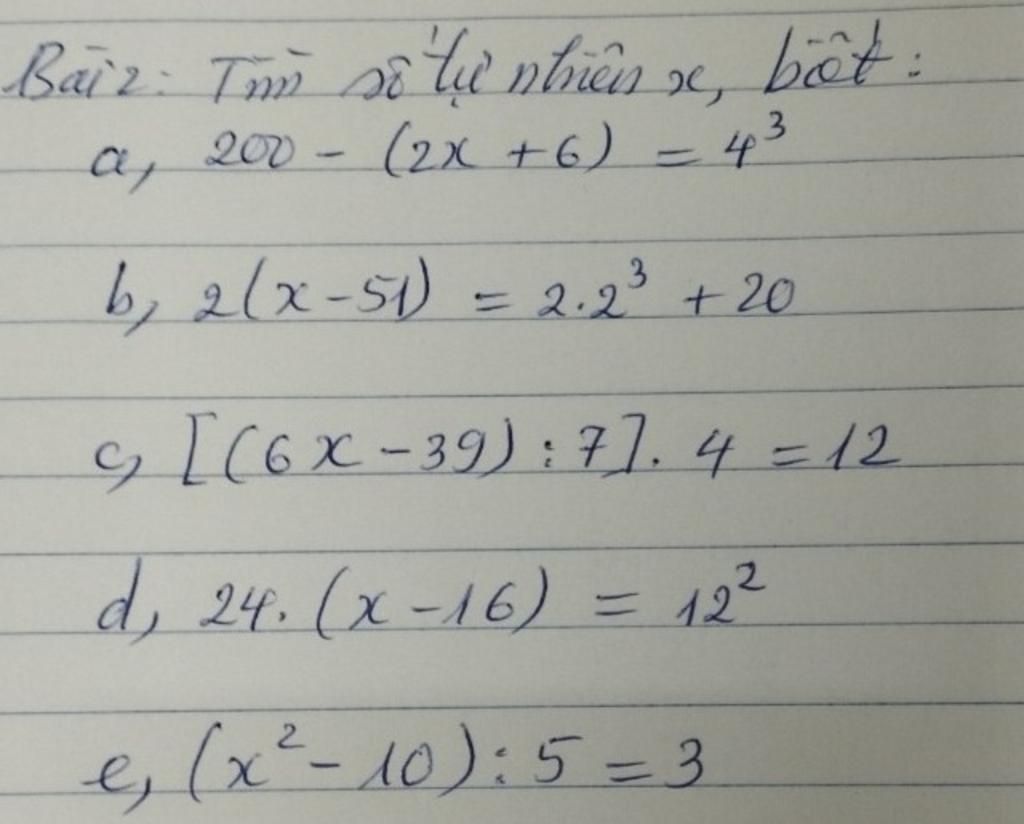
`a)`
`200-(2x+6)=4^{3}` `(đk:x\inNN)`
`=>2x+6=200-4^{3}`
`=>2x+6=200-64`
`=>2x+6=136`
`=>2x=136-6`
`=>2x=130`
`=>x=130:2`
`=>x=65(tmđk)`
Vậy `x=65`
`b)`
`2.(x-51)=2.2^{3}+20` `(đk:x\inNN)`
`=>2.(x-51)=2.(2^{3}+10)`
`=>2.(x-51)=2.(8+10)`
`=>2.(x-51)=2.18`
`=>x-51=18`
`=>x=18+51`
`=>x=69(tmđk)`
Vậy `x=69`
`c)`
`[(6x-39):7].4=12` `(đk:x\inNN)`
`=>(6x-39):7=12:4`
`=>(6x-39):7=3`
`=>6x-39=3.7`
`=>6x-39=21`
`=>6x=21+39`
`=>6x=60`
`=>x=60:6`
`=>x=10(tmđk)`
Vậy `x=10`
`d)`
`24.(x-16)=12^{2}` `(đk:x\inNN)`
`=>24.(x-16)=144`
`=>x-16=144:24`
`=>x-16=6`
`=>x=6+16`
`=>x=22(tmđk)`
Vậy `x=22`
`e)`
`(x^{2}-10):5=3` `(đk:x\inNN)`
`=>x^{2}-10=3.5`
`=>x^{2}-10=15`
`=>x^{2}=15+10`
`=>x^{2}=25`
`=>x^{2}=5^{2}=(-5)^{2}`
`=>x=5(tmđk)` hoặc `x=-5(ktmđk)`
Mà `x\inNN`
`=>x=5`
Vậy `x=5`
Hãy giúp mọi người biết câu trả lời này thế nào?
Đáp án: + Giải thích các bước giải:
`a. 200-(2x+6)=4^3`
`⇔ 2x+6=200-4^3`
`⇔ 2x = 200-64-6`
`⇔ 2x = 130`
`⇔ x=65`
Vậy `x=65`.
`b. 2(x-51)=2.2^3+20`
`⇔ 2x - 102 = 2.8+20`
`⇔ 2x = 16+20+102`
`⇔ 2x=138`
`⇔ x=69`
Vậy `x=69.`
`c. [(6x-39):7] . 4=12`
`⇔ (6x-39):7 = 3`
`⇔ 6x-39=21`
`⇔ 6x = 60`
`⇔ x=10`
Vậy `x=10`
`d. 24(x-16)=12^2`
`⇔ 24(x-16) = 144`
`⇔ x-16 = 6`
`⇔x=22`
Vậy `x=22`
`e. (x^2-10):5=3`
`⇔ x^2-10=15`
`⇔ x^2 = 25`
`⇔ x=5` (do $x ∈N$)
Vậy `x=5`.
Hãy giúp mọi người biết câu trả lời này thế nào?

Trả lời câu hỏi đi e
em nên cho ai hay nhất ạ
tùy bạn ạ
e thấy a trả lời trc nhưng hơi sai phần cuối nên e cho bạn kia hn nhé
Huhu phải cẩn thận hơn mới vào lại được bđhh
ua mà anh cho em hỏi mà sao anh bt Hoidap sớm thế từ năm 2019 cơ á
Mình thành viên đời đầu mà :D nhưng không onl trong 2 năm giờ mới onl lại. Hồi chị li2k5 vandat toàn anh chị đẹp trai
vagg
Bảng tin
47
28
67
tmđk là gì ạ?
26207
326543
17503
Thỏa mãn điều kiện ạ
47
28
67
vâng ạ.