Đăng nhập để hỏi chi tiết


Hãy luôn nhớ cảm ơn và vote 5*
nếu câu trả lời hữu ích nhé!
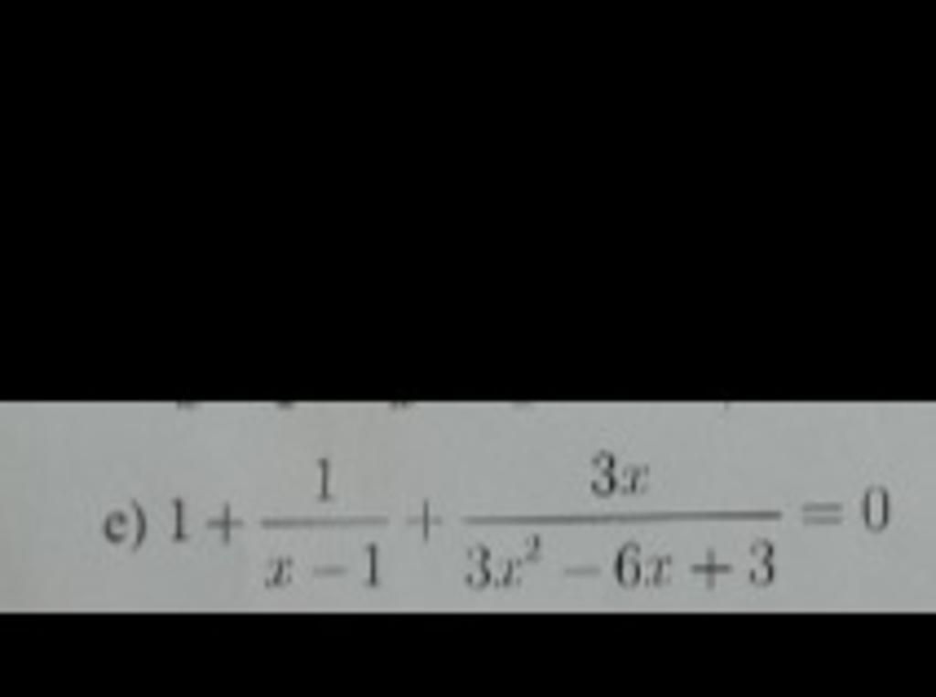
`e,` `1 + 1/[x - 1] + [3x]/[3x^2 - 6x + 3] = 0` `(x \ne 1)`
`<=> 1 + 1/[x - 1] + [3x]/[3.(x^2 - 2x + 1)] = 0`
`<=> 1 + 1/[x - 1] + x/[x^2 - 2x + 1] = 0`
`<=> 1 + 1/[x - 1] + x/[(x - 1)^2] = 0`
`<=> [(x - 1)^2 + (x - 1) + x]/[(x - 1)^2] = 0`
`<=> [x^2 - 2x + 1 + x - 1 + x]/[(x - 1)^2] = 0`
`=> x^2 - (2x - x - x) + (1 - 1) = 0`
`<=> x^2 = 0`
`<=> x = 0` `(tm)`
Vậy `x = 0`
Hãy giúp mọi người biết câu trả lời này thế nào?

Bảng tin
